【模型建立】如图所示,在长为
的细线下端拴一个质量为
的小物体(可视为质点),细线上端固定,设法使小物体在水平面内以大小恒定的速率做匀速圆周运动,细线所掠过的路径为圆锥表面,这就是圆锥摆。

【模型解读】
(1)受力分析:只受重力和拉力。
竖直方向:
(二力平衡)。
水平方向:
(牛顿第二定律)。

4个模型参数:
摆长
;摆角
;半径
;高度
。
6个转动参数:
线速度
;角速度
;周期
;频率
;转速
;向心加速度
。
(2)规律推导:匀速圆周运动
;
;
。
【总结拓展】
(1)
为摆球的轨道平面到悬点的距离,即圆锥摆的高度。由上述公式可知,高度相同的圆锥摆的
、
、
和
均相等,与
、
和
无关。
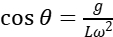
(2)由
,可得
。这个结果说明:①小球的摆线与竖直方向的夹角与摆球质量无关,与摆线长度及角速度有关;②当摆长一定时,角速度越大,
越大。
(3)细线的拉力
,可见细线的拉力随角速度的增加而增大。
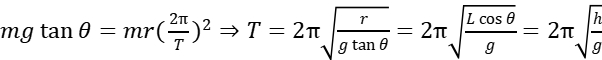
(4)圆锥摆的周期
,在地球表面同一地点(
值一定),圆锥摆的周期与
成正比,而与
、
、
无关。
1、本网站所提供的信息,只供教育教学参考之用。
2、本网站及其会员一概毋须以任何方式就任何信息传递或传送的失误、不准确或错误对用户或任何其他人士负任何直接或间接的责任。
3、在法律允许的范围内,本网站在此声明,不承担用户或任何人士就使用或未能使用本网站所提供的信息或任何链接或项目所引致的任何直接、间接、附带、从属、特殊、惩罚性或惩戒性的损害赔偿。
4、访问者在从事与本网站相关的所有行为(包括但不限于访问浏览、利用、转载、宣传介绍)时,必须以善意且谨慎的态度行事;访问者不得故意或者过失的损害本网站的各类合法权益,不得利用本网站以任何方式直接或者间接的从事违反中华人民共和国法律、国际公约以及社会公德的行为。对于访问者利用本网站提供的信息而作出的任何决策、决定以及其后果,本网站不承担任何责任
5、本网站图片,文字之类版权,本网站无法鉴别所上传图片或文字的知识版权,如果侵犯,请及时通知我们,本网站将在第一时间及时删除。
6、凡以任何方式登录本网站或直接、间接使用本网站资料者,视为自愿接受本网站声明的约束。
苏州微光