【概述】
(1)模型特点:滑块(视为质点)置于木板上,滑块和木板均相对地面运动,且滑块和木板在摩擦力的作用下发生相对滑动。
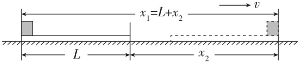
(2)位移关系:滑块由木板一端运动到另一端的过程中,滑块和木板同向运动时,位移大小之差
(如图甲);滑块和木板反向运动时,位移大小之和
(如图乙)。

甲

乙
【分类】
(1)地面光滑,不受外力

块:
板:
板足够长:

板不足够长:

(2)地面粗糙,不受外力

块:
板:
得:
,
板足够长且

板足够长且

(3)地面光滑,拉力
作用在木块上

板块保持相对静止一起匀加速,整体加速度
;
两板块之间发生相对滑动
块:
板:
板、块加速度与拉力
的关系图像:

拉力
使板块相对运动且作用一段时间后撤去:

(4)地面光滑,拉力
作用在木板上

板块保持相对静止一起匀加速,整体加速度
;
板块之间发生相对滑动,
块:
板:
板、块加速度与拉力
的关系图像:

拉力
使板块相对运动且作用一段时间后撤去:

【关键】分析板块模型时要抓住一个转折和两个关联

【思维模板】解决板块模型中速度临界问题的思维模板

1、本网站所提供的信息,只供教育教学参考之用。
2、本网站及其会员一概毋须以任何方式就任何信息传递或传送的失误、不准确或错误对用户或任何其他人士负任何直接或间接的责任。
3、在法律允许的范围内,本网站在此声明,不承担用户或任何人士就使用或未能使用本网站所提供的信息或任何链接或项目所引致的任何直接、间接、附带、从属、特殊、惩罚性或惩戒性的损害赔偿。
4、访问者在从事与本网站相关的所有行为(包括但不限于访问浏览、利用、转载、宣传介绍)时,必须以善意且谨慎的态度行事;访问者不得故意或者过失的损害本网站的各类合法权益,不得利用本网站以任何方式直接或者间接的从事违反中华人民共和国法律、国际公约以及社会公德的行为。对于访问者利用本网站提供的信息而作出的任何决策、决定以及其后果,本网站不承担任何责任
5、本网站图片,文字之类版权,本网站无法鉴别所上传图片或文字的知识版权,如果侵犯,请及时通知我们,本网站将在第一时间及时删除。
6、凡以任何方式登录本网站或直接、间接使用本网站资料者,视为自愿接受本网站声明的约束。
苏州微光