【模型建立】
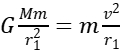
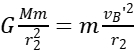
(1)在赤道上顺着地球自转方向先发射卫星到圆轨道Ⅰ上,卫星在轨道Ⅰ上做匀速圆周运动,有
,如图所示。

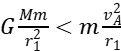
(2)在
点(近地点)点火加速,由于速度变大,所需向心力变大,
,卫星做离心运动进入椭圆轨道Ⅱ。
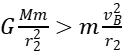
(3)在椭圆轨道
点(远地点),
,将做近心运动,在此处再次点火加速,使
,进入圆轨道Ⅲ。
【规律总结】
(1)速度:设卫星在圆轨道Ⅰ和Ⅲ上运行时的速率分别为
、
,在椭圆轨道Ⅱ上过
点和
点时速率分别为
、
,四个速率大小关系为
。
(2)向心加速度
在
点,轨道Ⅰ上和轨道Ⅱ上的向心加速度大小关系为
;在
点,轨道Ⅱ上和轨道Ⅲ上的向心加速度大小关系为
,
、
两点向心加速度大小关系为
。
(3)周期
卫星在Ⅰ、Ⅱ、Ⅲ轨道上的运行周期
、
、
的大小关系为
。
(4)机械能
在一个确定的圆(椭圆)轨道上机械能守恒。若卫星在Ⅰ、Ⅱ、Ⅲ轨道的机械能分别为
、
、
,从轨道Ⅰ到轨道Ⅱ和从轨道Ⅱ到轨道Ⅲ都需要点火加速,则机械能大小关系为
。
【拓展知识】
宇宙飞船与空间站的“对接”本质上仍然是卫星的变轨问题,要使宇宙飞船与空间站成功“对接”,应让宇宙飞船在较低轨道上逐渐加速,通过做离心运动升高轨道,从而完成宇宙飞船与空间站的对接。
2.双星模型
【模型建立】绕公共圆心转动的两个星体组成的系统,称为双星系统,如图所示。

【规律总结】
(1)各自所需的向心力由彼此间的万有引力提供,即
,
。
(2)两颗星的周期及角速度都相同,即
,
。
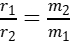
(3)两颗星的轨道半径与它们之间距离的关系为
。
(4)两颗星的轨道半径与质量成反比,即
。
(5)双星的运动周期
。
(6)双星的总质量
。
【拓展知识】
三星模型:宇宙中三个星体组成的系统。
类型一:三颗星体位于同一直线上,两颗质量相等的环绕星围绕中央星在同一半径为
的圆形轨道上运行(如图甲所示),对于质量为
的环绕星体有
。
类型二:三颗质量均为
的星体位于等边三角形的三个顶点上(如图乙所示),对于其中一个星体有
。

甲 乙
1、本网站所提供的信息,只供教育教学参考之用。
2、本网站及其会员一概毋须以任何方式就任何信息传递或传送的失误、不准确或错误对用户或任何其他人士负任何直接或间接的责任。
3、在法律允许的范围内,本网站在此声明,不承担用户或任何人士就使用或未能使用本网站所提供的信息或任何链接或项目所引致的任何直接、间接、附带、从属、特殊、惩罚性或惩戒性的损害赔偿。
4、访问者在从事与本网站相关的所有行为(包括但不限于访问浏览、利用、转载、宣传介绍)时,必须以善意且谨慎的态度行事;访问者不得故意或者过失的损害本网站的各类合法权益,不得利用本网站以任何方式直接或者间接的从事违反中华人民共和国法律、国际公约以及社会公德的行为。对于访问者利用本网站提供的信息而作出的任何决策、决定以及其后果,本网站不承担任何责任
5、本网站图片,文字之类版权,本网站无法鉴别所上传图片或文字的知识版权,如果侵犯,请及时通知我们,本网站将在第一时间及时删除。
6、凡以任何方式登录本网站或直接、间接使用本网站资料者,视为自愿接受本网站声明的约束。
苏州微光