文档预览
苏州微光
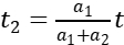
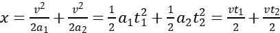
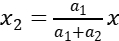
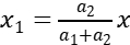
先加速再减速模型
教育教学
微光
2
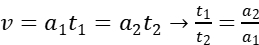
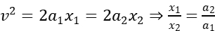
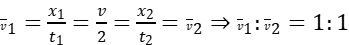
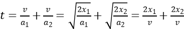
【概述】物体从静止开始,先做匀加速运动,速度达到最大后立即做匀减速直线运动,最终速度减至0。此类问题是匀加速和匀减速直线运动的组合。
【图像】除常规的分段计算思路外,此类问题还具有一些特定的比例关系,经常结合
图像进行分析,如图1所示,物体运动的
图像如图2所示。

图1 图2
【规律】
加速、减速时间之比 |
|
加速、减速位移之比 |
|
加速、减速平均速度之比 |
|
总时间、分时间关系 |
|
总位移、分位移关系 |
|
苏州微光 | 网站免责声明
为了浏览本网站(苏州微光,以下简称本网站),访问者应当关注、理解并接受本站作出的下述免责声明:
1、本网站所提供的信息,只供教育教学参考之用。
2、本网站及其会员一概毋须以任何方式就任何信息传递或传送的失误、不准确或错误对用户或任何其他人士负任何直接或间接的责任。
3、在法律允许的范围内,本网站在此声明,不承担用户或任何人士就使用或未能使用本网站所提供的信息或任何链接或项目所引致的任何直接、间接、附带、从属、特殊、惩罚性或惩戒性的损害赔偿。
4、访问者在从事与本网站相关的所有行为(包括但不限于访问浏览、利用、转载、宣传介绍)时,必须以善意且谨慎的态度行事;访问者不得故意或者过失的损害本网站的各类合法权益,不得利用本网站以任何方式直接或者间接的从事违反中华人民共和国法律、国际公约以及社会公德的行为。对于访问者利用本网站提供的信息而作出的任何决策、决定以及其后果,本网站不承担任何责任
5、本网站图片,文字之类版权,本网站无法鉴别所上传图片或文字的知识版权,如果侵犯,请及时通知我们,本网站将在第一时间及时删除。
6、凡以任何方式登录本网站或直接、间接使用本网站资料者,视为自愿接受本网站声明的约束。
苏州微光
苏州微光 | 网站导航




,

,