2025年上海市普通高中学业水平等级性考试物理试卷
一、综合题
1.光是从哪里来,又回到哪里去?浦济之光,你见过吗?光是一个物理学名词,其本质是一种处于特定频段的光子流。光源发出光,是因为光源中电子获得额外能量。如果能量不足以使其跃迁到更外层的轨道,电子就会进行加速运动,并以波的形式释放能量。如果跃迁之后刚好填补了所在轨道的空位,从激发态到达稳定态,电子就停止跃迁。否则电子会再次跃迁回之前的轨道,并且以波的形式释放能量。
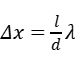
以下哪个选项中的图样符合红光和紫光的双缝干涉图样
______

如图所示,自然光经过两个偏振片,呈现在光屏上,偏振片B绕圆心转动且周期为T,则光屏上两个光强最小的时间间隔为
______

A. 2T
B. T
C. 
D. 
物理王兴趣小组在做“测量玻璃的折射率”实验时,若从c侧观察,插入c时,应遮住a、b的像;插入d时,应遮住______,依据图中所标数据,可得出该玻璃的折射率为______。

2.量子力学
,为物理学理论,是研究物质世界微观粒子运动规律的物理学分支,主要研究原子、分子、凝聚态物质,以及原子核和基本粒子的结构、性质的基础理论。它与相对论一起构成现代物理学的理论基础。量子力学不仅是现代物理学的基础理论之一,而且在化学等学科和许多近代技术中得到广泛应用。19世纪末,人们发现旧有的经典理论无法解释微观系统,于是经由物理学家的努力,在20世纪初创立量子力学,解释了这些现象。量子力学从根本上改变人类对物质结构及其相互作用的理解。除了广义相对论描写的引力以外,迄今所有基本相互作用均可以在量子力学的框架内描述
量子场论
。
太阳内部发生的反应是核聚变,即氢原子核在高温高压条件下聚合成氦原子核并释放能量的过程;其核反应方程为
,则X是
______
A.H核
B.He核
C.Li核
D.Be核
多选
若复色光的频率
,用复色光照射下面金属,可发生光电效应的可能是
______
金属的极限频率 | |||||
金属 | 锌 | 钙 | 钠 | 钾 | 铷 |
频率 |
|
|
|
|
|
选项 | A | B | C | D | E |
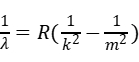
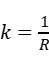
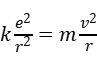
氢原子核外电子以半径r绕核做匀速圆周运动,若电子质量为m,元电荷为e,静电力常数为k,则电子动量大小是______。
一群氢原子处于量子数
的激发态,这些氢原子能够自发地跃迁到
的较低能量状态,R为里伯德常量,c是真空中的光速;则在此过程中
______
。
A.吸收光子,
B.放出光子,
C.吸收光子,
D.放出光子,
3.滑动变阻器是电路元件,它可以通过滑动来改变自身的电阻,从而起到控制电路的作用。在电路分析中,滑动变阻器既可以作为一个定值电阻,也可以作为一个变值电阻。滑动变阻器的构成一般包括接线柱、滑片、电阻丝、金属杆和瓷筒等五部分。滑动变阻器的电阻丝绕在绝缘瓷筒上,电阻丝外面涂有绝缘漆。
电学实验中,进行“测量电源电动势和内阻”实验时,记录数据,当电流表示数为
时,电压表示数为
;当电流表示数为
时,电压表示数为
;则此电源的电动势为______V,内阻为______
。
通过实验,某电阻两端的电压与通过它的电流关系,描绘如图所示,在实验过程中,电阻的横截面积和长度保持不变,依据图像分析:

①电阻阻值为R,其材料电阻率为
,由图可知,随着电阻两端的电压增大,则
______
增大,
增大
减小,
减小
增大,
不变
减小,
不变
②根据图像分析,当电阻两端电压为
时,该电阻的功率为______W。
③根据
图像,推测该实验电路为
______








4.质点在以某点为圆心半径为r的圆周上运动,即质点运动时其轨迹是圆周的运动叫“圆周运动”。它是一种最常见的曲线运动。例如电动机转子、车轮、皮带轮等都作圆周运动。
如图所示,在竖直平面内有一光滑圆形轨道,a为轨道最低点,c为轨道最高点,b点、d点为轨道上与圆心等高的两点,e为ab段的中点。一个质量为m的小物块在轨道内侧做圆周运动。

若物块从a点运动到c点所用时间为
,则在
时,物块在
______
A. A段
B. B点
C. C段
D. D点
E. E段
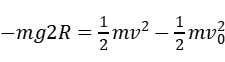
若物块在a点的速度为
,经过时间t刚好到达b点,则在该过程中轨道对物块的支持力的冲量为
______
A.
B.mgt
C.
D.
若物块质量为
,下图是物块的速度v与物块和圆心连线转过的夹角
的关系图像。

①求轨道半径R;
②求
时,物块克服重力做功的瞬时功率P。
5.特雷门琴是世界第一件电子乐器。特雷门琴生产于1919年,由前苏联物理学家利夫
特尔门
教授发明,艺名雷奥
特雷门
。同年已经由一位女演奏家作出公开演奏,尤甚者连爱因斯坦都曾参观,依然是世上唯一不需要身体接触的电子乐器。
人手与竖直天线构成可视为如图所示的等效电容器,与自感线圈L构成LC振荡电路。
①当人手靠近天线时,电容______
选填“变大”、“不变”、“变小”
。
②
多选
在电容器电荷量为零的瞬间,
达到最大值。
A.电场能
B.电流
C.磁场能
D.电压
特雷门琴的扬声器结构如图所示,图a为正面切面图,磁铁外圈为S极,中心横柱为N极,横柱上套着线圈,其侧面图如图b所示。
①此时线圈的受力方向为

A.左
B.右
C.径向向外
D.径向向内
②若单匝线圈周长为
,磁场强度
,
,
,
,则I的有效值为______A;单匝线圈收到的安培力的最大值为______?
③已知当温度为
时,声速
,求琴的
的波长为______?
有一平行板电容器,按如图接入电路中。
①减小两平行板间距d时,电容会______
选填“变大”、“变小”、“不变”
。
②已知电源电压为U,电容器电容为C,闭合开关,稳定时,电容器的电荷量为______。
有一质量为m,电荷量为q的正电荷从电容器左侧中央以速度
水平射入,恰好从下极板最右边射出,板间距为d,两极板电压为U,求两极板的长度
电荷的重力不计
。
已知人手靠近竖直天线时,音调变高,靠近水平天线时,声音变小;那么若想声波由图像①变成图像②,则人手


A.靠近竖直天线,远离水平天线
B.靠近竖直天线,靠近水平天线
C.远离竖直天线,远离水平天线
D.远离竖直天线,靠近水平天线
6.自MCB系统是由若干控制器和传感器组成,评估汽车当前速度和移动情况,并检查踏板上是否有驾驶者介入,若是MCB判断安全气囊弹出后驾驶者没有踩踏板或是踩踏力度不够,则启动电子稳定控制机制,向车轮施加与车辆速度和移动幅度匹配的制动力,以防止二次事故发生。
如图,下列元件在匀强磁场中绕中心轴转动,下列电动势最大的是
______

A.
和
B.
和
C.
和
D.
和
在倾斜角为
的斜坡上,有一辆向下滑动的小车在做匀速直线运动,存在动能回收系统;小车的质量
。在
时间内,速度从
减速到
,运动过程中所有其他阻力的合力
。求这一过程中:
①小车的位移大小x?
②回收作用力大小F?
如图,大气压强为
,一个气缸内部体积为
,初始压强为
,内有一活塞横截面积为S,质量为M。
①等温情况下,向右拉开活塞移动距离X,求活塞受拉力F?
②在水平弹簧振子中,弹簧劲度系数为k,小球质量为m,则弹簧振子做简谐运动振动频率为
,论证拉开微小位移X时,活塞做简谐振动,并求出振动频率f。
③若气缸绝热,活塞在该情况下振动频率为
,上题中等温情况下,活塞在气缸中的振动频率为
,则两则的大小关系为
______
A.
B.
C.
答案和解析
1.【答案】A; C; a、b的像和c;
【解析】
双缝干涉图样是平行等距明暗相间的条纹,红光波长大于紫光,由
可知,红光的条纹间距大于紫光,故选A;
根据偏振原理,偏振片B每转过半周透光强度从最小到最强再到最小,则光屏上两个光强最小的时间间隔为
,故选C;
若从c侧观察,插入c时,应遮住a、b的像;插入d时,应遮住a、b的像和c;由折射定律,该玻璃的折射率
。
2.【答案】
;
;
;
。
【解析】解:
根据核反应方程
,反应前氢核的质量数总和为4,电荷数总和为4。反应后两个正电子的质量数总和为0,电荷数总和为2。设X的质量数为A,电荷数为Z,则有:
,
,解得:
,
,
核的质量数为4,电荷数为2,故ACD错误,B正确。
故选:B。
复色光的频率
,当入射光的频率大于金属板的极限频率时,可发生光电效应,对比可知可发生光电效应的有钠、钾、铷,故选:CDE。
电子绕氢原子核做匀速圆周运动,由库仑力提供向心力得:
,解得:
电子动量大小为:
氢原子从高能级向低能级跃迁时会放出光子,光子的能量等于两个能级的能量差。
根据里德伯公式:
,其中m是跃迁前的能级,k是跃迁后的能级。
氢原子从
跃迁到
,则有:
,
又有:
联立可得:
,故D正确,ABC错误。
故选D。
故答案为:
;
;
;
。
根据核反应遵循质量数与电荷数守恒分析判断;
根据发生光电效应的条件分析解答;
电子绕氢原子核做匀速圆周运动,根据库仑力提供向心力求得电子的线速度大小,根据动量的定义求得电子的动量大小;
氢原子从高能级向低能级跃迁时会放出光子。根据里德伯公式,结合光速、频率、波长的关系解答。
本题考查了量子力学相关知识。掌握核聚变、核裂变遵循的规律,光电效应发生的条件,玻尔原子结构模型和原子能级跃迁的规律。
3.【答案】
;
;
;
;C
【解析】
当电流表示数
时,电压表示数
,由闭合电路欧姆定律有
;
当电流表示数
时,电压表示数
,由闭合电路欧姆定律有
;
代入数据联立解得:电动势
,内阻
。
①由欧姆定律有
,故
图线的斜率
,因此随着电阻两端的电压增大,电阻R减小;
由电阻定律
可知,在长度l和横截面积S不变时,导体的电阻率
减小,故选B。
②由
图像可知,电阻两端电压
时,流经电阻的电流
,则该电阻的功率
。
③由
图像可知,电阻两端电压的变化范围很大,可以测出很小的电压,故滑动变阻器采用分压式接法;
当电压很小时,
图像几乎为倾斜直线,最大电阻约为
,因
,故电流表采用外接法;故选C。
4.【答案】
;
;
①
;②
【解析】
物块从a点到c点过程中一直做减速运动,则物块从a点到b点的平均速率大于从b点到c点的平均速率;
若物块从a点运动到c点所用时间为
,则在
时,物块在E段,故选E。
以初速度方向为正方向,由动量定理,支持力在水平方向的冲量
,竖直方向由动量定理有
,
故该过程中轨道对物块的支持力的冲量
,故选D。
①由图可知,物块初速度为
,最高点速度为
,由动能定理有
,解得
;
②由图可知,当
时,物块的速度为
,故物块克服重力做功的瞬时功率
。
5.【答案】
①变大;②BC;
①B;②
;
;③
;
①变大;②
;
两极板的长度
;
【解析】解:
①根据平行板电容器电容的决定式
当人手靠近天线时,相当于改变了电容器的介电常数
人手会使周围介质的介电性质改变
,使得介电常数增大,从而电容变大。
②在LC振荡电路中,
图像和
图像如图所示:
根据
图像可知,当电荷量为零时,电流达到最大值,电场能全部转化为磁场能,磁场能达到最大值;
电荷量为零时,电容器两端电压为零,电场能也为零,故AD错误,BC正确。
故选:BC。
①观察图a,根据左手定则可知线圈所受安培力方向为向右,故ACD错误,B正确。
故选:B。
②根据正弦式交变电流有效值与峰值的关系,有效值
根据安培力公式,单匝线圈收到的安培力的最大值为
③根据波速、频率和波长的关系
,则有
①根据平行板电容器电容的决定式
可知,当减小两平行板间距d时,其他量不变,所以电容C会变大。
②闭合开关,稳定时,根据电容的定义式,电容器的电荷量为
电荷量为q的正电荷在电容器中做类平抛运动
竖直方向根据牛顿第二定律得
竖直位移
水平方向做匀速直线运动,水平位移
联立解得两板的长度
声音的音调由频率决定,人手靠近竖直天线时,音调变高即波的频率变大;声音的强度由振幅决定,靠近水平天线时,声音变小,即波的振幅变小;声波由图像①变成图像②即频率变大了,振幅变小了,可得人手靠近竖直天线、靠近水平天线,故ACD错误,B正确。
故选:B。
6.【答案】解:
由图可知,磁场方向竖直向下,图中各点的线速度都沿切线方向,而此时
和
点速度方向与磁场方向垂直,产生的感应电动势最大。故BCD错误,A正确;
故选:A。
①小车的位移
②小车的加速度
方向沿斜面向上,根据牛顿第二定律
解得
①根据玻意耳定律
对活塞分析可知
解得
②设X方向为正方向,则此时活塞所受合力
当X很微小时,则
即活塞的振动可视为简谐振动。其中
振动频率为
③若气缸绝热,则当气体体积增大时,气体对外做功,内能减小,温度降低,则压强减小,即
,根据
则k值偏大,则
故AB错误,C正确。
故选:C。
故答案为:
;
①小车的位移大小x为
;②回收作用力大小F为5230N;
①等温情况下,向右拉开活塞移动距离X,活塞受拉力F为
;②拉开微小位移X时,活塞做简谐振动的证明见解析,振动频率f为
;③C。
【解析】
根据速度方向与磁场方向垂直,产生的感应电动势最大分析求解;
根据牛顿第二定律,结合匀变速直线运动公式分析求解;
根据玻意耳定律,结合对活塞的受力分析,综合热力学第一定律分析求解。
本题考查了热力学、牛顿力学等相关知识,理解不同状态下物体的运动情况和受力情况是解决此类问题的关键。
附件 (1个)
1、本网站所提供的信息,只供教育教学参考之用。
2、本网站及其会员一概毋须以任何方式就任何信息传递或传送的失误、不准确或错误对用户或任何其他人士负任何直接或间接的责任。
3、在法律允许的范围内,本网站在此声明,不承担用户或任何人士就使用或未能使用本网站所提供的信息或任何链接或项目所引致的任何直接、间接、附带、从属、特殊、惩罚性或惩戒性的损害赔偿。
4、访问者在从事与本网站相关的所有行为(包括但不限于访问浏览、利用、转载、宣传介绍)时,必须以善意且谨慎的态度行事;访问者不得故意或者过失的损害本网站的各类合法权益,不得利用本网站以任何方式直接或者间接的从事违反中华人民共和国法律、国际公约以及社会公德的行为。对于访问者利用本网站提供的信息而作出的任何决策、决定以及其后果,本网站不承担任何责任
5、本网站图片,文字之类版权,本网站无法鉴别所上传图片或文字的知识版权,如果侵犯,请及时通知我们,本网站将在第一时间及时删除。
6、凡以任何方式登录本网站或直接、间接使用本网站资料者,视为自愿接受本网站声明的约束。
徐老师的博客





