2025年云南省物理真题
一、单选题
1.2025年3月,我国科学家研制的碳14核电池原型机“烛龙一号”发布,标志着我国在核能技术领域与微型核电池领域取得突破。碳14的衰变方程为
,则

A. X为电子,是在核内中子转化为质子的过程中产生的
B. X为电子,是在核内质子转化为中子的过程中产生的
C. X为质子,是由核内中子转化而来的
D. X为中子,是由核内质子转化而来的
2.如图所示,中老铁路国际旅客列车从云南某车站由静止出发,沿水平直轨道逐渐加速到
,在此过程中列车对座椅上的一高中生所做的功最接近


A.
B.
C.
D. 
3.如图所示,某同学将两颗鸟食从O点水平抛出,两只小鸟分别在空中的M点和N点同时接到鸟食。鸟食的运动视为平抛运动,两运动轨迹在同一竖直平面内,则()
A. 两颗鸟食同时抛出 B. 在N点接到的鸟食后抛出
C. 两颗鸟食平抛的初速度相同 D. 在M点接到的鸟食平抛的初速度较大
4.某介电电泳实验使用非匀强电场,该电场的等势线分布如图所示。a、b、c、d四点分别位于电势为
、
、1V、2V的等势线上,则


A. a、b、c、d中a点电场强度最小
B. a、b、c、d中d点电场强度最大
C. 一个电子从b点移动到c点电场力做功为2eV
D. 一个电子从a点移动到d点电势能增加了4eV
5.国际编号为192391的小行星绕太阳公转的周期约为
年,该小行星与太阳系内八大行星几乎在同一平面内做圆周运动。规定地球绕太阳公转的轨道半径为1AU,八大行星绕太阳的公转轨道半径如下表所示。忽略其它行星对该小行星的引力作用,则该小行星的公转轨道应介于()
行星 | 水星 | 金星 | 地球 | 火星 | 木星 | 土星 | 天王星 | 海王星 |
轨道半径 |
|
|
|
|
|
| 19 | 30 |
A. 金星与地球的公转轨道之间 B. 地球与火星的公转轨道之间
C. 火星与木星的公转轨道之间 D. 天王星与海王星的公转轨道之间
6.如图所示,质量为m的滑块
视为质点
与水平面上MN段的动摩擦因数为
,与其余部分的动摩擦因数为
,且
。第一次,滑块从Ⅰ位置以速度
向右滑动,通过MN段后停在水平面上的某一位置,整个运动过程中,滑块的位移大小为
,所用时间为
第二次,滑块从Ⅱ位置以相同速度
向右滑动,通过MN段后停在水平面上的另一位置,整个运动过程中,滑块的位移大小为
,所用时间为
。忽略空气阻力,则


A.
B.
C.
D. 
7.如图所示,均匀介质中矩形区域内有一位置未知的波源。
时刻,波源开始振动产生简谐横波,并以相同波速分别向左、右两侧传播,P、Q分别为矩形区域左右两边界上振动质点的平衡位置。
和
时矩形区域外波形分别如图中实线和虚线所示,则()
A. 波速为
B. 波源的平衡位置距离P点
C.
时,波源处于平衡位置且向下运动
D.
时,平衡位置在P、Q处的两质点位移相同
二、多选题
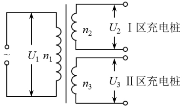
8.电动汽车充电桩的供电变压器
视为理想变压器
示意图如图所示。变压器原线圈的匝数为
,输入电压
两副线圈的匝数分别为
和
,输出电压
。当Ⅰ、Ⅱ区充电桩同时工作时,两副线圈的输出功率分别为
和
,下列说法正确的是


A.
B. 
C. 变压器的输入功率为
D. 两副线圈输出电压最大值均为220V
9.图甲为1593年伽利略发明的人类历史上第一支温度计,其原理如图乙所示。硬质玻璃泡a内封有一定质量的气体
视为理想气体
,与a相连的b管插在水槽中固定,b管中液面高度会随环境温度变化而变化。设b管的体积与a泡的体积相比可忽略不计,在标准大气压
下,b管上的刻度可以直接读出环境温度。则在
下


A. 环境温度升高时,b管中液面升高 B. 环境温度降低时,b管中液面升高
C. 水槽中的水少量蒸发后,温度测量值偏小 D. 水槽中的水少量蒸发后,温度测量值偏大
10.如图所示,倾角为
的固定斜面,其顶端固定一劲度系数为k的轻质弹簧,弹簧处于原长时下端位于O点。质量为m的滑块
视为质点
与斜面间的动摩擦因数
。过程Ⅰ
以速度
从斜面底端P点沿斜面向上运动恰好能滑至O点;过程Ⅱ
将Q连接在弹簧的下端并拉至P点由静止释放,Q通过M点
图中未画出
时速度最大,过O点后能继续上滑。弹簧始终在弹性限度内,假设最大静摩擦力等于滑动摩擦力,忽略空气阻力,重力加速度为g。则


A. P、M两点之间的距离为
B. 过程Ⅱ中,Q在从P点单向运动到O点的过程中Q与弹簧组成的系统损失的机械能为
C. 过程Ⅱ中,Q从P点沿斜面向上运动的最大位移为
D. 连接在弹簧下端的Q无论从斜面上何处释放,最终一定静止在
含O、M点
之间
三、实验题
11.某实验小组做了测量木质滑块与橡胶皮之间动摩擦因数
的实验,所用器材如下:钉有橡胶皮的长木板、质量为250g的木质滑块
含挂钩
、细线、定滑轮、弹簧测力计、慢速电机以及砝码若干。实验装置如图甲所示。
实验步骤如下:
①将长木板放置在水平台面上,滑块平放在橡胶面上;
②调节定滑轮高度,使细线与长木板平行
此时定滑轮高度与挂钩高度一致
③用电机缓慢拉动长木板,当长木板相对滑块匀速运动时,记录弹簧测力计的示数
④在滑块上分别放置50g、100g和150g的砝码,重复步骤③;
⑤处理实验数据
重力加速度g取
。
实验数据如下表所示:
滑块和砝码的总质量 | 弹簧测力计示数 | 动摩擦因数 |
250 |
|
|
300 |
| a |
350 |
|
|
400 |
|
|
完成下列填空:
表格中a处的数据为
保留3位有效数字
其它条件不变时,在实验误差允许的范围内,滑动摩擦力的大小与接触面上压力的大小,
与接触面上压力的大小
以上两空填“成正比”“成反比”或“无关”
若在实验过程中未进行步骤②,实验装置如图乙所示,挂钩高于定滑轮,则
的测量结果将
填“偏大”“偏小”或“不变”
。
12.基于铂电阻阻值随温度变化的特性,某兴趣小组用铂电阻做了测量温度的实验。可选用的器材如下:Pt 1000 型号铂电阻、电源
电动势5V,内阻不计
、电流表
量程
,内阻
、电流表
量程
,内阻约
、定值电阻
阻值
、定值电阻
阻值
、开关S和导线若干。
查阅技术手册可知,Pt1000型号铂电阻测温时的工作电流在
之间,在
范围内,铂电阻的阻值
随温度t的变化视为线性关系,如图
所示。
完成下列填空:
由图
可知,在
范围内,温度每升高
,该铂电阻的阻值增加
兴趣小组设计了如图
所示的甲、乙两种测量铂电阻阻值的电路图,能准确测出铂电阻阻值的是
填“甲”或“乙”
,保护电阻R应选
填“
”或“
”

用
问中能准确测出铂电阻阻值的电路测温时,某次测量读得
示数为
,
示数如图
所示,该示数为
,则所测温度为
计算结果保留2位有效数字
。
四、计算题
13.用光学显微镜观察样品时,显微镜部分结构示意图如图甲所示。盖玻片底部中心位置O点的样品等效为点光源,为避免O点发出的光在盖玻片上方界面发生全反射,可将盖玻片与物镜的间隙用一滴油填充,如图乙所示。已知盖玻片材料和油的折射率均为
,盖玻片厚度
,盖玻片与物镜的间距
,不考虑光在盖玻片中的多次反射,取真空中光速
,
。
求未滴油时,O点发出的光在盖玻片的上表面的透光面积
结果保留2位有效数字
滴油前后,光从O点传播到物镜的最短时间分别为
、
,求
结果保留2位有效数字
。
14.磁屏蔽技术可以降低外界磁场对屏蔽区域的干扰。如图所示,
区域存在垂直Oxy平面向里的匀强磁场,其磁感应强度大小为
未知
。第一象限内存在边长为2L的正方形磁屏蔽区ONPQ,经磁屏蔽后,该区域内的匀强磁场方向仍垂直Oxy平面向里,其磁感应强度大小为
未知
,但满足
。某质量为m、电荷量为
的带电粒子通过速度选择器后,在Oxy平面内垂直y轴射入
区域,经磁场偏转后刚好从ON中点垂直ON 射入磁屏蔽区域。速度选择器两极板间电压U、间距d、内部磁感应强度大小
已知,不考虑该粒子的重力。
求该粒子通过速度选择器的速率;
求
以及y轴上可能检测到该粒子的范围;
定义磁屏蔽效率
,若在Q处检测到该粒子,则
是多少?
15.如图所示,光滑水平面上有一个长为L、宽为d的长方体空绝缘箱,其四周紧固一电阻为R的水平矩形导线框,箱子与导线框的总质量为M。与箱子右侧壁平行的磁场边界平面如截面图中虚线PQ所示,边界右侧存在范围足够大的匀强磁场,其磁感应强度大小为B、方向竖直向下。
时刻,箱子在水平向右的恒力
大小未知
作用下由静止开始做匀加速直线运动,这时箱子左侧壁上距离箱底h处、质量为m的木块
视为质点
恰好能与箱子保持相对静止。箱子右侧壁进入磁场瞬间,木块与箱子分离;箱子完全进入磁场前某时刻,木块落到箱子底部,且箱子与木块均不反弹
木块下落过程中与箱子侧壁无碰撞
木块落到箱子底部时即撤去F。运动过程中,箱子右侧壁始终与磁场边界平行,忽略箱壁厚度、箱子形变、导线粗细及空气阻力。木块与箱子内壁间的动摩擦因数为
,假设最大静摩擦力等于滑动摩擦力,重力加速度为g。
求F的大小;
求
时刻,箱子右侧壁距磁场边界的最小距离;
若
时刻,箱子右侧壁距磁场边界的距离为
大于
问中最小距离
,求最终木块与箱子的速度大小。
答案和解析
1.【答案】A
【解析】设X的质量数为A,电荷数为Z,由质量数和电荷数守恒,有
,
,解得
,
,故X是电子,属于
衰变,实质为原子核内的1个中子转化为1个质子和1个电子,故A正确。
2.【答案】B
【解析】高中生的质量约为50kg,
,由动能定理可得
,故选B。
3.【答案】D
【解析】A、B:由于N点比M点到O点的竖直距离大,由平抛运动的知识可知,两颗鸟食不是同时抛出的且到达N点的先抛出,故A、B错误;
C、
由题可知当N点的鸟食与M点的鸟食在同一高度时,N点的鸟食的水平距离比M点的水平距离要小,故由平抛运动规律可知:
在M点接到的鸟食平抛的初速度较大,故D正确,C错误。
4.【答案】C
【解析】AB、等差等势面越密集的位置电场强度越大,图中a处最密集、c处最稀疏,则a处场强最大、c处场强最小,AB错误;
C、一个电子从b点移到c点,
,由
可知,
,C正确;
D、一个电子从a点移到d点,
,由
可知,
;由
可知,
,即电势能减小4eV,D错误。
故选C。
5.【答案】C
【解析】应用开普勒第三定律,对绕太阳的天体有
常数,
地球:
,
年;
小行星:
年,设其轨道半径为
。
由
,得
则
由于火星轨道半径
,木星轨道半径
,故小行星介于火星与木星之间。
答案:C
6.【答案】A
【解析】
设MN的距离为
,第一次,滑块从Ⅰ位置以速度
向右滑动,根据动能定理,
第二次,滑块从Ⅱ位置以相同速度
向右滑动,根据动能定理
,由两式可得
,CD错误;
根据牛顿第二定律,滑块在MN段上运动的加速度为
,则有
,解得
,在其余部分上运动的加速度为
,则有
,解得
,且
,由两次位移相等,可作
如下
可得
,A正确,B错误。
7.【答案】D
【解析】从
到
时间内,波向左、右传播距离均为2m。根据波速公式
,可得波速
,A选项错误。
由题意可知,波向左传播且
时,从波源向左传播的波对应的传播距离x1
,通过图分析可知,波源平衡位置距离P点1m,B选项错误。
由波速
,结合波形可知波长
,根据
,可得周期
。
时,根据波形能判断出波源的振动状态,再往回推
到
,
时波源处于平衡位置且向上运动,C选项错误。
与
的时间差
,
,即在
的基础上再经过
个周期。分别分析波源到P、Q点的距离及传播情况,可知平衡位置在P、Q处的两质点位移相同,D选项正确。综上,答案选D,
【分析】解题关键在于利用波的传播规律,结合波形图和时间,依次分析波速、波源位置、质点振动状态和位移等物理量。
8.【答案】AC
【解析】
,
,由
,可得
,,
,故A正确,B错误;
C.当Ⅰ、Ⅱ区充电桩同时工作时,两副线圈的输出功率分别为
和
,变压器的输入功率等于输出功率,则有输入功率
,故C正确;
D.两副线圈输出电压有效值均为220V,故D错误
故选:AC。
9.【答案】BD
【解析】A、B:以玻璃泡a内的理想气体为研究对象,在环境温度变化时,气体做等容变化,由等容变化的规律可知,当环境温度升高时,a中气体的压强增大,设a中气体压强为p,由平衡条件可知:
,故当温度升高时,b中液面的高度下降,反之,则液面升高,也就是b中液面越低,环境温度越高,故A错误,B正确;
C、D:由压强关系:
可知,在温度一定时,h的高度一定,h为b中水面到槽中水面的高度,当水槽中的水少量蒸发后,水槽中的水面高度降低,故b中水面的高度也将下降,由A、B中分析可知,此时测量的温度将偏高,故C错误,D正确。
10.【答案】BCD
【解析】A.Ⅰ过程中Q上滑受力分析可知
,上滑最大位移为
Ⅱ过程经过M点时,速度最大,可知此时Q受力平衡,则有
,则P、M两点之间的距离为
;故A错误;
B.过程Ⅱ中,Q在从P点单向运动到O点的过程中系统损失的机械能为
,故B正确;
C.设过程Ⅱ中,Q从P点沿斜面向上运动到N点,由对称性可知
,故过程Ⅱ中,Q从P点沿斜面向上运动的最大位移为
正确;
D.对Q受力分析可知若平衡,则外界拉力向上最大为
即M点,最小为零,则连接在弹簧下端的Q无论从斜面上何处释放,最终一定静止在
含O、M点
之间。故D正确;
故选BCD;
11.【答案】
成正比
无关
偏大
【解析】
将滑块和砝码视作整体、总质量为M,受力情况如图1所示。
当长木板相对滑块匀速运动时,在水平方向由平衡条件可知,细线拉力
;由定滑轮的特点可知,弹簧测力计示数
;由
可知,表格第2行中动摩擦因数
。
由表中第1、2列数据可知,在实验误差允许范围内,
近似为定值,故滑动摩擦力大小与接触面上压力大小成正比;
由表中第1、3列数据可知,在实验误差允许范围内,动摩擦因数
不随M而改变,故
与接触面上压力的大小无关。
设细线与水平方向的夹角为
,滑块和砝码整体的受力情况如图2所示。
由平衡条件,水平方向有
,竖直方向有
,联立解得
真实值
。
若在实验过程中未进行步骤②,即忽略了角度
而误用
测量值
进行计算,由于
且
,将会导致真实值与测量值相比,分子更小、分母更大,故
的真实值小于测量值,即
的测量值偏大。
12.【答案】
乙


51
【解析】
时
,
时
。
温度每升高
,该铂电阻的阻值增加
=
。
甲电路:
内阻未知,无法消除其分压影响,测量误差大。
乙电路:铂电阻与
并联,
内阻已知
,则铂电阻与
的电压相等为
,铂电阻的电流I
,可通过
准确计算,故选乙。
工作电流
,
量程
,电源
,整个电路的总电阻最小值
。
并联部分
铂电阻
电阻约
,
内阻
,故保护电阻需
,
阻值过小,会导致总电流超量程。
量程为
,
读数为
。
铂电阻两端的电压:
,
铂电阻的电流:
,
铂电阻的阻值:
,
阻值变化
,由
问得每
变化
,故
13.【答案】解:
恰好发生全反射时,
,解得
,
由几何关系可知,透光部分为圆形,透光半径
,又
,解得
透光面积
根据
,解得光在盖玻片和油中传播速度
未滴油时,光在盖玻片中传播的最短路程为d,在空气中传播的最短路程为h,即
滴油后,光在盖玻片中传播的最短路程为d,在油中传播的最短路程为h,即
带入数据,解得
【解析】
本题可根据全反射临界角公式求出临界角,再结合几何关系求出透光面积。
先分别求出滴油前后光传播的路程和速度,进而求出传播时间,最后计算时间差。
14.【答案】解:
根据
、
、
,解得:
。
根据几何关系得
,根据
,解得
,
由于
,
,得
,
根据几何关系得:y轴上可能检测到粒子的范围为
。
粒子经过Q点,则根据几何关系得
,
得
根据
,
解得
,所以
。
【解析】详细解答和解析过程见【答案】
15.【答案】
对小物块分析即得:
,
解得:
由整体即得:
解得:
若使得两物体分离,此时有
由
联立解得
有
根据
联立解得
根据运动学公式,
,
,联立解得力F 作用时间
由
中得安培力的冲量
水平方向对系统用动量定理即得:
解得
当
时
时
【解析】详细解答过程见【答案】
附件 (1个)
1、本网站所提供的信息,只供教育教学参考之用。
2、本网站及其会员一概毋须以任何方式就任何信息传递或传送的失误、不准确或错误对用户或任何其他人士负任何直接或间接的责任。
3、在法律允许的范围内,本网站在此声明,不承担用户或任何人士就使用或未能使用本网站所提供的信息或任何链接或项目所引致的任何直接、间接、附带、从属、特殊、惩罚性或惩戒性的损害赔偿。
4、访问者在从事与本网站相关的所有行为(包括但不限于访问浏览、利用、转载、宣传介绍)时,必须以善意且谨慎的态度行事;访问者不得故意或者过失的损害本网站的各类合法权益,不得利用本网站以任何方式直接或者间接的从事违反中华人民共和国法律、国际公约以及社会公德的行为。对于访问者利用本网站提供的信息而作出的任何决策、决定以及其后果,本网站不承担任何责任
5、本网站图片,文字之类版权,本网站无法鉴别所上传图片或文字的知识版权,如果侵犯,请及时通知我们,本网站将在第一时间及时删除。
6、凡以任何方式登录本网站或直接、间接使用本网站资料者,视为自愿接受本网站声明的约束。
徐老师的博客
















