2025年山东卷物理真题
一、单选题
1.在光电效应实验中,用频率和强度都相同的单色光分别照射编号为1、2、3的金属,所得遏止电压如图所示,关于光电子最大初动能
的大小关系正确的是()
A.
B.
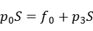
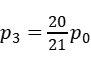
C.
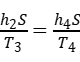
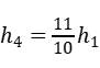
D. 
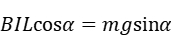
2.分子间作用力F与分子间距离r的关系如图所示,若规定两个分子间距离r等于
时分子势能
为零,则


A. 只有r大于
时,
为正 B. 只有r小于
时,
为正
C. 当r不等于
时,
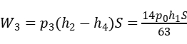
为正 D. 当r不等于
时,
为负
3.用如图所示的装置观察光的干涉和偏振现象。狭缝
、
关于
轴对称,光屏垂直于
轴放置。将偏振片
垂直于
轴置于双缝左侧,单色平行光沿
轴方向入射,在屏上观察到干涉条纹,再将偏振片
置于双缝右侧,
、
透振方向平行。保持
不动,将
绕
轴转动
的过程中,关于光屏上的干涉条纹,下列说法正确的是


A. 条纹间距不变,亮度减小 B. 条纹间距增大,亮度不变
C. 条纹间距减小,亮度减小 D. 条纹间距不变,亮度增大
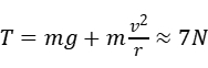
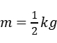
4.某同学用不可伸长的细线系一个质量为
的发光小球,让小球在竖直面内绕一固定点做半径为
的圆周运动。在小球经过最低点附近时拍摄了一张照片,曝光时间为
。由于小球运动,在照片上留下了一条长度约为半径
的圆弧形径迹。根据以上数据估算小球在最低点时细线的拉力大小为()
A. 11N B. 9N C. 7N D. 5N
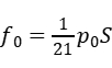
5.一辆电动小车上的光伏电池,将太阳能转换成的电能全部给电动机供电,刚好维持小车以速度v匀速运动,此时电动机的效率为
。已知小车的质量为m,运动过程中受到的阻力
为常量
,该光伏电池的光电转换效率为
,则光伏电池单位时间内获得的太阳能为()
A.
B.
C.
D. 
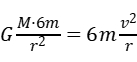
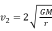
6.轨道舱与返回舱的组合体,绕质量为M的行星做半径为r的圆周运动,轨道舱与返回舱的质量比为
。如图所示,轨道舱在P点沿运动方向向前弹射返回舱,分开瞬间返回舱相对行星的速度大小为
,G为引力常量,此时轨道舱相对行星的速度大小为


A.
B.
C.
D. 
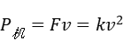
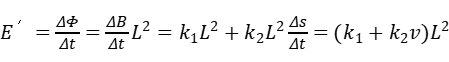
7.如图为一种交流发电装置的示意图,长度为2L、间距为L的两平行金属电极固定在同一水平面内,两电极之间的区域I和区域Ⅱ有竖直方向的磁场,磁感应强度大小均为B、方向相反,区域I边界是边长为L的正方形,区域Ⅱ边界是长为L、宽为
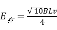
的矩形。传送带从两电极之间以速度v匀速通过,传送带上每隔2L固定一根垂直运动方向、长度为L的导体棒,导体棒通过磁场区域过程中与电极接触良好。该装置产生电动势的有效值为()
A. BLv B.
C.
D. 
8.工人在河堤的硬质坡面上固定一垂直坡面的挡板,向坡底运送长方体建筑材料。如图所示,坡面与水平面夹角为
,交线为PN,坡面内QN与PN垂直,挡板平面与坡面的交线为MN,
。若建筑材料与坡面、挡板间的动摩擦因数均为
,重力加速度大小为g,则建筑材料沿MN向下匀加速滑行的加速度大小为


A. 
B. 
C. 
D. 
二、多选题
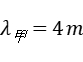
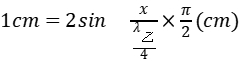
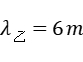
9.均匀介质中分别沿x轴负向和正向传播的甲、乙两列简谐横波,振幅均为2cm,波速均为
,M、N为介质中的质点。
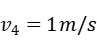
时刻的波形图如图所示,M、N的位移均为1cm。下列说法正确的是


A. 甲波的周期为6s B. 乙波的波长为6m
C.
时,M向y轴正方向运动 D.
时,N向y轴负方向运动
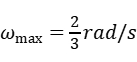
10.如图所示,在无人机的某次定点投放性能测试中,目标区域是水平地面上以O点为圆心,半径
的圆形区域,
垂直地面,无人机在离地面高度
的空中绕
点、平行地面做半径
的匀速圆周运动,A、B为圆周上的两点,
。若物品相对无人机无初速度地释放,为保证落点在目标区域内,无人机做圆周运动的最大角速度应为
。当无人机以
沿圆周运动经过A点时,相对无人机无初速度地释放物品。不计空气对物品运动的影响,物品可视为质点且落地后即静止,重力加速度大小
。下列说法正确的是()
A. 
B. 
C. 无人机运动到B点时,在A点释放的物品已经落地
D. 无人机运动到B点时,在A点释放的物品尚未落地
11.球心为O,半径为R的半球形光滑绝缘碗固定于水平地面上,带电量分别为
和
的小球甲、乙刚好静止于碗内壁A、B两点,过O、A、B的截面如图所示,C、D均为圆弧上的点,OC沿竖直方向,
,
,A、B两点间距离为
,E、F为AB连线的三等分点。下列说法正确的是()
A. 甲的质量小于乙的质量 B. C点电势高于D点电势
C. E、F两点电场强度大小相等,方向相同 D. 沿直线从O点到D点,电势先升高后降低
12.如图甲所示的Oxy平面内,y轴右侧被直线
分为两个相邻的区域I、Ⅱ。区域I内充满匀强电场,区域Ⅱ内充满垂直Oxy平面的匀强磁场,电场和磁场的大小、方向均未知。
时刻,质量为m、电荷量为
的粒子从O点沿x轴正向出发,在Oxy平面内运动,在区域I中的运动轨迹是以y轴为对称轴的抛物线的一部分,如图甲所示。
时刻粒子第一次到达两区域分界面,在区域Ⅱ中运动的
图像为正弦曲线的一部分,如图乙所示。不计粒子重力。下列说法正确的是()
A. 区域I内电场强度大小
,方向沿y轴正方向
B. 粒子在区域Ⅱ内圆周运动的半径
C. 区域Ⅱ内磁感应强度大小
,方向垂直Oxy平面向外
D. 粒子在区域Ⅱ内圆周运动的圆心坐标
三、实验题
13.某小组采用如图甲所示的装置验证牛顿第二定律,部分实验步骤如下:

将两光电门安装在长直轨道上,选择宽度为d的遮光片固定在小车上,调整轨道倾角,用跨过定滑轮的细线将小车与托盘及砝码相连。选用
填“
”或“
”
的遮光片,可以较准确地测量遮光片运动到光电门时小车的瞬时速度。
将小车自轨道右端由静止释放,从数字毫秒计分别读取遮光片经过光电门1、光电门2时的速度
、
,以及从遮光片开始遮住光电门1到开始遮住光电门2的时间
,计算小车的加速度
结果保留2位有效数字
。
将托盘及砝码的重力视为小车受到的合力F,改变砝码质量,重复上述步骤,根据数据拟合出
图像,如图乙所示。若要得到一条过原点的直线,实验中应
填“增大”或“减小”
轨道的倾角。

图乙中直线斜率的单位为
填“kg”或“
”
。
14.某实验小组为探究远距离高压输电的节能优点,设计了如下实验。所用实验器材为:
学生电源;
可调变压器
、
;
电阻箱R;
灯泡
额定电压为
;
交流电流表
,交流电压表
、
,
开关
、
,导线若干。

部分实验步骤如下:
模拟低压输电。按图甲连接电路,选择学生电源交流挡,使输出电压为12V,闭合
,调节电阻箱阻值,使
示数为
,此时
量程为
示数如图乙所示,为mA,学生电源的输出功率为W。

模拟高压输电。保持学生电源输出电压和电阻箱阻值不变,按图丙连接电路后闭合
。调节
、
,使
示数为
,此时
示数为20mA,则低压输电时电阻箱消耗的功率为高压输电时的倍。
示数为125mA,高压输电时学生电源的输出功率比低压输电时减少了W。
四、计算题
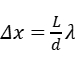
15.由透明介质制作的光学功能器件截面如图所示,器件下表面圆弧以O点为圆心,上表面圆弧以
点为圆心,两圆弧的半径及O、
两点间距离均为R,点A、B、C在下表面圆弧上。左界面AF和右界面CH与
平行,到
的距离均为
。

点与
的距离为
,单色光线从B点平行于
射入介质,射出后恰好经过
点,求介质对该单色光的折射率n;
若该单色光线从G点沿GE方向垂直AF射入介质,并垂直CH射出,出射点在GE的延长线上,E点在
上,
、E两点间的距离为
,空气中的光速为c,求该光在介质中的传播时间t。
16.如图所示,上端开口,下端封闭的足够长玻璃管竖直固定于调温装置内。玻璃管导热性能良好,管内横截面积为S,用轻质活塞封闭一定质量的理想气体。大气压强为
,活塞与玻璃管之间的滑动摩擦力大小恒为
,等于最大静摩擦力。用调温装置对封闭气体缓慢加热,
时,气柱高度为
,活塞开始缓慢上升;继续缓慢加热至
时停止加热,活塞不再上升;再缓慢降低气体温度,活塞位置保持不变,直到降温至
时,活塞才开始缓慢下降;温度缓慢降至
时,保持温度不变,活塞不再下降。求:

时,气柱高度
;
从
状态到
状态的过程中,封闭气体吸收的净热量
扣除放热后净吸收的热量
。
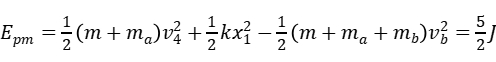
17.如图所示,内有弯曲光滑轨道的方形物体置于光滑水平面上,P、Q分别为轨道的两个端点且位于同一高度,P处轨道的切线沿水平方向,Q处轨道的切线沿竖直方向。小物块a、b用轻弹簧连接置于光滑水平面上,b被锁定。一质量
的小球自Q点正上方
处自由下落,无能量损失地滑入轨道,并从P点水平抛出,恰好击中a,与a粘在一起且不弹起。当弹簧拉力达到
时,b解除锁定开始运动。已知a的质量
,b的质量
,方形物体的质量
,重力加速度大小
,弹簧的劲度系数
,整个过程弹簧均在弹性限度内,弹性势能表达式
为弹簧的形变量
,所有过程不计空气阻力。求:

小球到达P点时,小球及方形物体相对于地面的速度大小
、
;
弹簧弹性势能最大时,b的速度大小
及弹性势能的最大值
。
18.如图所示,平行轨道的间距为L,轨道平面与水平面夹角为
,二者的交线与轨道垂直,以轨道上O点为坐标原点,沿轨道向下为x轴正方向建立坐标系。轨道之间存在区域I、Ⅱ,区域
内充满磁感应强度大小为B、方向竖直向上的匀强磁场;区域Ⅱ
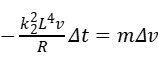
内充满方向垂直轨道平面向上的磁场,磁感应强度大小
,
和
均为大于零的常量,该磁场可视为由随时间t均匀增加的匀强磁场和随x轴坐标均匀增加的磁场叠加而成。将质量为m、边长为L、电阻为R的匀质正方形闭合金属框epqf时放置在轨道上,pq边与轨道垂直,由静止释放。已知轨道绝缘、光滑、足够长且不可移动,磁场上、下边界均与x轴垂直,整个过程中金属框不发生形变,重力加速度大小为g,不计自感。

若金属框从开始进入到完全离开区域I的过程中匀速运动,求金属框匀速运动的速率v和释放时pq边与区域I上边界的距离s;
金属框沿轨道下滑,当ef边刚进入区域Ⅱ时开始计时
,此时金属框的速率为
,若
,求从开始计时到金属框达到平衡状态的过程中,ef边移动的距离d。
答案和解析
1.【答案】B
【解析】根据光电子最大初动能与遏制电压的关系
,由图可知
,则
,故选B。
2.【答案】C
【解析】两个分子间距离r等于
时分子势能为零,从
处随着距离的增大,分子间作用力表现为引力,分子间作用力做负功,故分子势能增大;从
处随着距离的减小,分子间作用力表现为斥力,分子间作用力也做负功,分子势能也增大;综上所述,当r不等于
时,
为正,故选C。
3.【答案】A
【解析】由干涉条纹间距公式
可知,在
旋转过程中,L、d、
均不变,故条纹间距
不变;
当
、
透振方向平行时透过的光强最大,在
绕
轴转动
的过程中,
、
透振方向逐渐垂直,根据偏振片的特性可知,透过
的光强在减小,故光屏上干涉条纹的亮度将减小。
故选A。
4.【答案】C
【解析】由题意,在曝光时间内小球运动的长度为
近似认为在曝光时间内小球做匀速直线运动,故有
小球在最低点时,由牛顿第二定律有
,故
故选C。
5.【答案】A
【解析】小车做匀速运动,由平衡条件有
,则小车的机械功率
因电动机的效率为
,即
,解得
该光伏电池的光电转换效率为
,即
,解得
,即单位时间内获得的太阳能,故选A。
6.【答案】C
【解析】轨道舱与返回舱的质量比为
,设返回舱的质量为m,则轨道舱的质量为5m,总质量为6m;
根据题意组合体绕行星做匀速圆周运动,根据万有引力定律有
可得做圆周运动的线速度为
弹射返回舱的过程中组合体动量守恒,有
由题意
带入解得
故选C。
7.【答案】D
【解析】由题意可知导体棒通过磁场区域过程需要的时间,即周期为
导体棒通过区域I时,产生的电动势大小为
,经过的时间为
导体棒通过区域Ⅱ时,产生的电动势大小为
,经过的时间为
根据有效值的定义有
带入数据可得
故选D。
8.【答案】B
【解析】根据牛顿第二定律
可得
故选B。
9.【答案】BD
【解析】A.根据题图可知甲波的波长
根据
可得
A错误;
B.设N左边在平衡位置的质点与N质点平衡位置的距离为x,根据题图结合
又
可得
,
B正确;
C.
时即经过
,结合同侧法可知M向y轴负方向运动,C错误;
D.同理根据
可得
根据同侧法可知
时N向y轴负方向运动,
时即经过时间
,N仍向y轴负方向运动,D正确。
故选BD。
10.【答案】BC
【解析】
物品从无人机上释放后,做平抛运动,竖直方向
可得
要使得物品落点在目标区域内,水平方向满足
最大角速度等于
联立可得
,故A错误,B正确;
无人机从A到B的时间
,由于
可知无人机运动到B点时,在A点释放的物品已经落地,故C正确,D错误。
故选BC。
11.【答案】BD
【解析】A.对甲、乙两小球受力分析如图所示,甲、乙两小球分别受到重力、支持力、库仑力作用保持平衡。

设OC与AB线段交点为G点,由几何关系
解得
因此有
,
根据正弦定理,对甲有
对乙有
因为
与
是一对相互作用力,可得
A错误;
B.根据点电荷场强公式
,由场强叠加知识,可知C到D之间的圆弧上各点场强方向都向右下方,若有一正试探电荷从C运动到D的过程中,电场力做正功,电势能减小,故可判断C点电势高于D点电势,B正确;
C.两带电小球连线上的电场分布可以等效成一对等量异种点电荷的电场和在A点带电量为3q的正点电荷的电场相互叠加的电场。在等量异种点电荷的电场中E、F两点电场强度大小相等,方向相同。但是A点带电量为3q的正点电荷在E、F两点的电场强度不同。所以E、F两点电场强度大小不同,C错误;
D.电势是标量,OD与AB线段的交点距离两带电小球最近,所以该点电势最大,那么沿直线从O点到D点,电势先升高后降低,D正确。
故选BD。
12.【答案】AD
【解析】A.粒子在区域I中的运动轨迹是以y轴为对称轴的抛物线的一部分,可以判断出粒子做类平抛运动,根据曲线轨迹可知,可知正粒子受到的电场力方向竖直向上,电场方向沿y轴正方向,设粒子初速度为
,竖直方向有
由牛顿第二定律有
,联立解得
,故A正确;
B.粒子在区域Ⅱ中运动的
图像为正弦曲线的一部分,可以判断粒子做匀速圆周运动,
粒子到达电场和磁场边界时,竖直方向的速度
,水平方向的速度
,
则粒子出边界时与竖直方向的夹角为
,运动轨迹如图所示,
由几何关系可知,则粒子在区域Ⅱ内圆周运动的半径
,故B错误;
C.粒子做类平抛运动进入匀强磁场时的速度
根据洛伦兹力提供向心力有
解得
,方向垂直Oxy平面向外,故C错误;
D.设圆心为
点,设粒子进入匀强磁场时的速度方向与竖直方向夹角为
有
粒子在区域Ⅱ内圆周运动的圆心坐标
,D正确。
故选AD。
13.【答案】

增大

【解析】
实验用遮光片通过光电门的平均速度代替瞬时速度,遮光片宽度越小,代替时的误差越小,故为较准确地测量遮光片运动到光电门时小车的瞬时速度,选择宽度较小的
的遮光片;
根据加速度的定义式可得
根据图像可知,当有一定大小的外力F时,此时小车的加速度仍为零,可知平衡摩擦力不足,若要得到一条过原点的直线,需要平衡摩擦力,故实验中应增大轨道的倾角;
图乙中直线斜率为
,根据
可知直线斜率的单位为
。
14.【答案】200

100

【解析】
根据题图可知电流表的分度值为5mA,故读数为200mA;
学生电源的输出功率
低压输电时电阻箱消耗的功率为
电阻箱的接入的电阻为
高压输电时,电阻箱消耗的功率为
可得
即低压输电时电阻箱消耗的功率为高压输电时的100倍。

示数为125mA时,学生电源的输出功率
高压输电时学生电源的输出功率比低压输电时减少了
15.【答案】
如图1

图1
根据题意可知B点与
的距离为
,
,所以
可得
又因为出射光线恰好经过
点,
点为该光学器件上表面圆弧的圆心,则该单色光在上表面垂直入射,光路不变;因为
,所以根据几何关系可知
介质对该单色光的折射率
若该单色光线从G点沿GE方向垂直AF射入介质,第一次射出介质的点为D,且
,可知
由于
所以光线在上表面D点发生全反射,轨迹如图2

图2
根据几何关系,则光在介质中传播的距离为
光在介质中传播的速度为
所以光在介质中的传播时间
【解析】详细答案和详细解答过见答案
16.【答案】
活塞开始缓慢上升,由受力平衡
可得封闭的理想气体压强
升温过程中,等压膨胀,由盖-吕萨克定律
解得

升温过程中,等压膨胀,外界对气体做功
降温过程中,等容变化,外界对气体做功
活塞受力平衡有
解得封闭的理想气体压强
降温过程中,等压压缩,由盖-吕萨克定律
解得
外界对气体做功
全程中外界对气体做功
因为
,故封闭的理想气体总内能变化
利用热力学第一定律
解得
故封闭气体吸收的净热量
。
【解析】详细答案和详细解答过程见答案
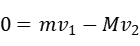
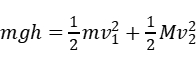
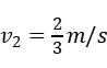
17.【答案】
根据题意可知,小球从开始下落到P处过程中,水平方向上动量守恒,则有
由能量守恒定律有
联立解得
,
即小球速度为
,方向水平向左,大物块速度为
,方向水平向右。
由于小球落在物块a正上方,并与其粘连,小球竖直方向速度变为0,小球和物块a水平方向上动量守恒,则有
解得
设当弹簧形变量为
时物块b的固定解除,此时小球和物块a的速度为
,根据胡克定律
系统机械能守恒
联立解得
,
固定解除之后,小球、物块a和物块b组成的系统动量守恒,当三者共速时,弹簧的弹性势能最大,由动量守恒定律有
解得
,方向水平向左。
由能量守恒定律可得,最大弹性势能为
【解析】详细答案和详细解析见答案
18.【答案】
金属框从开始进入到完全离开区域I的过程中,金属框只有一条边切割磁感线,根据楞次定律可得,安培力水平向左,则
切割磁感线产生的电动势
线框中电流
线框做匀速直线运动,则
解得金属框从开始进入到完全离开区域I的过程的速率
金属框开始释放到pq边进入磁场的过程中,只有重力做功,由动能定理可得
可得释放时pq边与区域I上边界的距离
当ef边刚进入区域Ⅱ时开始计时
=
,设线框ef边到O点的距离为s时,线框中产生的感应电动势
,其中
此时线路中的感应电流
线框pq边受到沿轨道向上的安培力,大小为
线框ef边受到沿轨道向下的安培力,大小为
则线框受到的安培力
代入
化简得
当线框平衡时
,可知此时线框速率为0。
则从开始计时到金属框达到平衡状态的过程中,根据动量定理可得
即
对时间累积求和可得
可得
【解析】详细答案和详细解答过程见答案
附件 (1个)
1、本网站所提供的信息,只供教育教学参考之用。
2、本网站及其会员一概毋须以任何方式就任何信息传递或传送的失误、不准确或错误对用户或任何其他人士负任何直接或间接的责任。
3、在法律允许的范围内,本网站在此声明,不承担用户或任何人士就使用或未能使用本网站所提供的信息或任何链接或项目所引致的任何直接、间接、附带、从属、特殊、惩罚性或惩戒性的损害赔偿。
4、访问者在从事与本网站相关的所有行为(包括但不限于访问浏览、利用、转载、宣传介绍)时,必须以善意且谨慎的态度行事;访问者不得故意或者过失的损害本网站的各类合法权益,不得利用本网站以任何方式直接或者间接的从事违反中华人民共和国法律、国际公约以及社会公德的行为。对于访问者利用本网站提供的信息而作出的任何决策、决定以及其后果,本网站不承担任何责任
5、本网站图片,文字之类版权,本网站无法鉴别所上传图片或文字的知识版权,如果侵犯,请及时通知我们,本网站将在第一时间及时删除。
6、凡以任何方式登录本网站或直接、间接使用本网站资料者,视为自愿接受本网站声明的约束。
徐老师的博客