2025年高考江苏卷物理真题
一、单选题
1.新能源汽车在辅助驾驶系统测试时,感应到前方有障碍物立刻制动,做匀减速直线运动。
内速度由
减至0。该过程中加速度大小为()
A.
B.
C.
D.
2.用图示可拆变压器进行探究实验,当变压器左侧的输入电压为
时,若右侧接线柱选取“0”和“4”,右侧获得
输出电压.则左侧接线柱选取的是()

A.“0”和“2” B.“2”和“8”
C.“2”和“14” D.“8”和“14”
3.某“冰箱贴”背面的磁性材料磁感线如图所示,下列判断正确的是()

A.a点的磁感应强度大于b点 B.b点的磁感应强度大于c点
C.c点的磁感应强度大于a点 D.a、b、c点的磁感应强度一样大
4.游乐设施“旋转杯”的底盘和转杯分别以
、
为转轴,在水平面内沿顺时针方向匀速转动。
固定在底盘上。某时刻转杯转到如图所示位置,杯上A点与
、
恰好在同一条直线上。则()

A.A点做匀速圆周运动
B.
点做匀速圆周运动
C.此时A点的速度小于
点
D.此时A点的速度等于
点
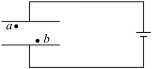
5.如图所示.将开关S由a拔到b,使电容器C与线圈L构成回路。以电容器C开始放电取作0时刻,能正确反映电路中电流i随时间t变化关系的图象是()

A.
B.
C.
D.
6.如图所示,取装有少量水的烧瓶,用装有导管的橡胶塞塞紧瓶口,并向瓶内打气。当橡胶塞跳出时,瓶内出现白雾。橡胶塞跳出后,瓶内气体()

A.内能迅速增大 B.温度迅速升高
C.压强迅速增大 D.体积迅速膨胀
7.如图所示,一束激光射入肥皂泡后(入射激光束未在图中标出),肥皂膜内出现一亮环。肥皂膜内的激光()

A.波长等于亮环的周长
B.频率比在真空中的大
C.在肥皂膜与空气的界面上发生衍射
D.在肥皂膜与空气的界面上发生全反射
8.一定质量的理想气体,体积保持不变。在甲、乙两个状态下,该气体分子速率分布图像如图所示。与状态甲相比,该气体在状态乙时()

A.分子的数密度较大
B.分子间平均距离较小
C.分子的平均动能较大
D.单位时间内分子碰撞单位面积器壁的次数较少
9.如图所示,平行金属板与电源连接。一点电荷由a点移动到b点的过程中,电场力做功为W。现将上、下两板分别向上、向下移动,使两板间距离增大为原来的2倍,再将该电荷由a移动到b的过程中,电场力做功为()

A.
B.W C.
D.
10.如图所示,弹簧一端固定,另一端与光滑水平面上的木箱相连,箱内放置一小物块,物块与木箱之间有摩擦。压缩弹簧并由静止释放,释放后物块在木箱上有滑动,滑动过程中不与木箱前后壁发生碰撞,不计空气阻力,则()

A.释放瞬间,物块加速度为零
B.物块和木箱最终仍有相对运动
C.木箱第一次到达最右端时,物块速度为零
D.物块和木箱的速度第一次相同前,物块受到的摩擦力不变
二、实验题
11.小明同学探究机械能守恒定律,实验装置如图。实验时,将小钢球在斜槽上某位置A由静止释放,钢球沿斜槽通过末端O处的光电门,光电门记录下钢球的遮光时间t。用游标卡尺测出钢球的直径d,由
得出其通过光电门的速度v,再计算出动能增加量
。用刻度尺测得钢球下降的高度h,计算出重力势能减少量
。

(1)安装实验装置的操作有:
①在斜槽末端安装光电门②调节斜槽在竖直平面内
③调节斜槽末端水平④将斜槽安装到底座上
其合理的顺序是__________(选填“A”“B”或“C”)。
A.①②③④ B.④②③① C.④①②③
(2)测量钢球直径的正确操作是图中(选填“甲”或“乙”)所示的方式。

(3)在斜槽上5个不同的位置由静止释放钢球。测量得出的实验数据见表1。已知钢球的质量
,重力加速度
。请将下表的数据补充完整。
表1
| 4.00 | 5.00 | 6.00 | 7.00 | 8.00 |
| 4.90 | 6.25 | 7.45 | 8.78 | 10.0 |
| 7.84 | 9.80 | 11.8 | 13.7 |
(4)实验数据表明,
明显小于
,钢球在下降过程中发生机械能的损失。小明认为,机械能的损失主要是由于钢球受到的摩擦力做功造成的。
为验证此猜想,小明另取一个完全相同的斜槽按下图平滑对接。若钢球从左侧斜槽上A点由静止释放,运动到右侧斜槽上,最高能到达B点,A、B两点高度差为H.则该过程中,摩擦力做功大小的理论值
(用m、g、H表示)。

(5)用上图的装置,按表1中所列部分高度h进行实验,测得摩擦力做功大小
。由于观察到H值较小,小明认为,AO过程摩擦力做功近似等于AB过程的一半,即
。然后通过表1的实验数据,计算出AO过程损失的机械能
。整理相关数据,见表2。
表2
| 4.00 | 5.00 | 6.00 | 7.00 |
| 2.94 | 3.55 | 4.35 | 4.92 |
| 0.98 | 1.08 | 1.18 | 1.27 |
上表中
与
相差明显。小明认为这是由于用
近似计算
不合理。你是否同意他的观点?请根据表2数据简要说明理由。
三、解答题
12.江门中微子实验室使用我国自主研发的光电倍增管,利用光电效应捕捉中微子信息。光电倍增管阴极金属材料的逸出功为
,普朗克常量为h。
(1)求该金属的截止频率
;
(2)若频率为
的入射光能使该金属发生光电效应,求光电子的最大初动能
。
13.如图所示,在电场强度为E,方向竖直向下的匀强电场中,两个相同的带正电粒子a、b同时从O点以初速度
射出,速度方向与水平方向夹角均为
。已知粒子的质量为m。电荷量为q,不计重力及粒子间相互作用。求:

(1)a运动到最高点的时间t;
(2)a到达最高点时,a、b间的距离H。
14.如图所示,在光滑水平面上,左右两列相同的小钢球沿同一直线放置。每列有n个。在两列钢球之间,一质量为m的玻璃球以初速度
向右运动,与钢球发生正碰。所有球之间的碰撞均视为弹性碰撞。

(1)若钢球质量为m,求最右侧的钢球最终运动的速度大小;
(2)若钢球质量为
,求玻璃球与右侧钢球发生第一次碰撞后,玻璃球的速度大小
;
(3)若钢球质量为
,求玻璃球经历
次碰撞后的动能
。
15.圆筒式磁力耦合器由内转子、外转子两部分组成。工作原理如图甲所示。内、外转子可绕中心轴
转动。外转子半径为
,由四个相同的单匝线圈紧密围成,每个线圈的电阻均为R,直边的长度均为L,与轴线平行。内转子半径为
,由四个形状相同的永磁体组成,磁体产生径向磁场,线圈处的磁感应强度大小均为B。外转子始终以角速度
匀速转动,某时刻线圈abcd的直边ab与cd处的磁场方向如图乙所示。

(1)若内转子固定,求ab边产生感应电动势的大小E;
(2)若内转子固定,求外转子转动一周,线圈abcd产生的焦耳热Q;
(3)若内转子不固定,外转子带动内转子匀速转动,此时线圈中感应电流为I,求线圈abcd中电流的周期T。
答案和解析
1.【答案】C
【解析】根据运动学公式
,代入数值解得
故加速度大小为
。
故选C。
2.【答案】A
【解析】根据可拆式变压器电压比与匝数比关系有
,即
解得
故原线圈接入的匝数是
匝,即左侧接线柱线圈选取的是“0”和“2”。
故选A。
3.【答案】B
【解析】磁感线越密集的地方磁感线强度越大,故可知
。
故选B。
4.【答案】B
【解析】A.A点运动为A点绕
的圆周运动和
相对于O的圆周运动的合运动,故轨迹不是圆周,故不做匀速圆周运动,故A错误;
B.根据题意
固定在底盘上,故可知
围绕O点做匀速圆周运动,故B正确;
CD.杯上A点与
、
恰好在同一条直线上时且
在
延长线上,
点和
点运动运动方向相同,又A点相对
点做圆周运动,故此时A的速度大于
的速度,故CD错误。
故选B。
5.【答案】A
【解析】根据题意可知,将开关由
调到
时,电容器和自感线圈组成回路,此回路为振荡电路,产生周期性迅速变化的振荡电流。A图像正确:电容器开始放电,由于电容器上极板带正电,则电流为逆时针,电场能向磁场能转化,电流越来越大,当电容电量为0时,电流最大,其后磁场能向电场能转化,电容器充电,电流越来越小,电流为0时,充电完成,此时,电容器下极板带正电,之后开始反向放电,电流为顺时针,电场能向磁场能转化,电流越来越大,当电容电量为0时,电流最大,其后磁场能向电场能转化,电容器充电,电流越来越小,电流为0时,充电完成,电场能转化为磁场能以及磁场能又再次转化为电场能的过程中,电路向外辐射电磁波,电路中的能量在耗散,最大电流越来越小。
故选A。
6.【答案】D
【解析】瓶塞跳出的过程中瓶内的气体对外做功,气体体积迅速膨胀,由于该过程的时间比较短,可知气体来不及吸收热量,根据热力学第一定律可知,气体的内能减小,则温度降低,由理想气体状态方程
可知,气体压强减小。
故选D。
7.【答案】D
【解析】AB.激光在不同的介质中传播时,频率相同,波长不同,激光波长与亮环周长无关,故AB错误;
CD.一束激光打进一个肥皂泡(图中未画出入射光线),发现在肥皂泡内测出现一个亮环,是因为激光在空气与肥皂膜分界面处发生了全反射,故C错误,D正确。
故选D。
8.【答案】C
【解析】AB.根据题意,一定质量的理想气体,甲乙两个状态下气体的体积相同,所以分子密度相同、分子的平均距离相同,故AB错误;
C.根据题图可知,乙状态下气体速率大的分子占比较多,则乙状态下气体温度较高,则平均动能大,故C正确;
D.乙状态下气体平均速度大,密度相等,则单位时间内撞击容器壁次数较多,故D错误。
故选C。
9.【答案】A
【解析】根据题意可知,电容器与电源保持连接,电容器两端电压不变,现将电容器两极板间距增大至原来的两倍,由公式
可知,极板间电场强度变为原来的
,则有
可知,再把电荷由a移至b,则电场力做功变为原来的
,即电场力做功为
。
故选A。
10.【答案】D
【解析】A.根据题意可知,释放时,物块与木箱发生相对滑动,且有摩擦力,根据牛顿第二定律可知释放时物块加速度不为0,故A错误;
B.由于物块与木箱间有摩擦力且发生相对滑动,所以弹簧的弹性势能会减少,直到弹簧的最大弹力满足以下分析的
:设物块与木箱之间的最大静摩擦力为
,物块质量为
,对物块根据牛顿第二定律
设木箱质量为
,对物块与木箱整体,根据牛顿第二定律
可得
即弹簧的最大弹力减小到
后,二者一起做简谐运动,故B错误;
C.根据AB选项分析可知只有当二者一起做简谐运动前,有相对滑动,滑块运动到最右端后物块不会停止,当二者一起做简谐运动后,物块与滑块一起做周期性运动,也不会停止,故C错误;
D.开始滑块的加速度向右,物块与滑块第一次共速前,物块相对滑块向左运动,受到向右的摩擦力,共速前二者有相对滑动,摩擦力恒为二者之间的滑动摩擦力,保持不变,故D正确。
故选D。
11.【答案】(1)B(2)甲(3)15.7(4)mgH
(5) 同意 小球减小的重力势能有一部分转化为小球的转动动能,相差很大的原因是小球的转动动能没有计入
【解析】(1)正确步骤为将斜槽安置于底座,调节斜槽在竖直平面内,调节斜槽末端水平,安装光电门,序号为④②③①。
故选B。
(2)测量小球直径的正确操作需要确保测量工具与小球接触良好,并且小球的位置不会导致测量误差。在图中的情形中,甲图示显示出的卡尺测量方式更准确地使卡尺的两测量面与小球的表面垂直接触,适合测量直径。而乙图因为夹持不住小球,使得小球并没有夹在量爪之间,测量不准确。
故选甲。
(3)根据
可知下降高度为
时减少的重力势能为下降高度为
的二倍,代入数据可得
(4)根据动能定理可得
可得
(5)[1][2]同意,原因是小球减小的重力势能有一部分转化为小球的转动动能,相差很大的原因是小球的转动动能没有计入。
12.【答案】(1)
(2)
【解析】(1)根据题意,由光电效应方程有
当
时,可得该金属的截止频率
(2)根据题意,由光电效应方程可得,光电子的最大初动能为
13.【答案】(1)
(2)
【解析】(1)根据题意,不计重力及粒子间相互作用,则竖直方向上,由对
球,根据牛顿第二定律有
a运动到最高点的时间,由运动学公式有
联立解得
(2)方法一、根据题意可知,两个小球均在水平方向上做匀速直线运动,且水平方向上的初速度均为
,则两小球一直在同一竖直线上,斜上抛的小球竖直方向上运动的位移为
斜下抛的小球竖直方向上运动位移为
则小球a到达最高点时与小球b之间的距离
方法二、两个小球均受到相同电场力,以a球为参考系,
球以
的速度向下做匀速直线运动,则a到达最高点时,a、b间的距离
14.【答案】(1)
(2)
(3)
【解析】(1)根据题意可知,所有碰撞均为弹性碰撞,由于钢球质量也为m,根据动量守恒和机械能守恒可知,碰撞过程中,二者速度互换,则最终碰撞后最右侧钢球的速度大小等于开始碰撞前玻璃球的初速度为
。
(2)根据题意可知,所有碰撞均为弹性碰撞,则由动量守恒定律有
由能量守恒定律有
解得
,
负号表示速度反向,则玻璃球的速度大小为
(3)根据题意结合小问2分析可知,玻璃球与右侧第一个小球碰撞后反弹,且速度大小变为碰撞前的
,右侧第一个小球又与第二个小球发生弹性碰撞,速度互换,静止在光滑水平面上,玻璃球反弹后与左侧第一个小球同样发生弹性碰撞,同理可得,碰撞后玻璃球再次反弹,且速度大小为碰撞前的
,综上所述,玻璃球碰撞
次后速度大小为
则玻璃球碰撞
次后最终动能大小
15.【答案】(1)
(2)
(3)
【解析】(1)根据题意可知,
转动时的线速度为
则ab产生的感应电动势
(2)根据题意,由图可知,若内转子固定,外转子转动过程中,
、
均切割磁感线,且产生的感应电流方向相反,则转动过程中感应电动势为
感应电流为
转子转动的周期为
则abcd转一圈产生的热量
(3)结合图可知,转子转动
电流方向改变,大小不变,若内转子不固定,跟着外转子一起转,且abcd中的电流为I,则感应电动势为
又有
解得
则电流改变方向的时间为
则电流的周期为
1、本网站所提供的信息,只供教育教学参考之用。
2、本网站及其会员一概毋须以任何方式就任何信息传递或传送的失误、不准确或错误对用户或任何其他人士负任何直接或间接的责任。
3、在法律允许的范围内,本网站在此声明,不承担用户或任何人士就使用或未能使用本网站所提供的信息或任何链接或项目所引致的任何直接、间接、附带、从属、特殊、惩罚性或惩戒性的损害赔偿。
4、访问者在从事与本网站相关的所有行为(包括但不限于访问浏览、利用、转载、宣传介绍)时,必须以善意且谨慎的态度行事;访问者不得故意或者过失的损害本网站的各类合法权益,不得利用本网站以任何方式直接或者间接的从事违反中华人民共和国法律、国际公约以及社会公德的行为。对于访问者利用本网站提供的信息而作出的任何决策、决定以及其后果,本网站不承担任何责任
5、本网站图片,文字之类版权,本网站无法鉴别所上传图片或文字的知识版权,如果侵犯,请及时通知我们,本网站将在第一时间及时删除。
6、凡以任何方式登录本网站或直接、间接使用本网站资料者,视为自愿接受本网站声明的约束。
徐老师的博客





