仪器 | 原理示意图 | 说明 |
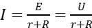
速度选择器 |
| 1.平行板间匀强电场的场强 2.只能选择粒子的速度,不能选择粒子的电性、电荷量、质量 |
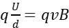
质谱仪 |
| 加速电场: 偏转磁场: 解得 |
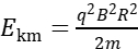
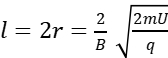
回旋加速器 |
| 1.工作原理 (1)交流电周期和粒子做圆周运动的周期相等; (2)粒子每经过一次 2.最大动能 (1)由 (2)粒子获得的最大动能由磁感应强度 3.粒子在磁场中运动的总时间 粒子在磁场中运动一个周期,被电场加速两次,每次动能增加 |
霍尔元件 |
| 1.高为 2.上、下表面电势高低的分析方法:确定形成电流的电荷的电性 3.霍尔电压的计算:导体中的自由电荷(设电荷量为 |
磁流体发电机 |
| 1.原理:等离子体(高温下电离的气体,含有大量正、负带电粒子)喷入磁场,正、负带电粒子在洛伦兹力的作用下发生偏转, 2.电动势:当发电机外电路断路,正、负带电粒子所受电场力和洛伦兹力平衡时,两极板间达到最大电势差 3.内阻: 4.闭合回路中的电流 |
电磁流量计 |
| 1.流量 2.原理:圆柱形管道直径为 3.导电液体的流量 |
1、本网站所提供的信息,只供教育教学参考之用。
2、本网站及其会员一概毋须以任何方式就任何信息传递或传送的失误、不准确或错误对用户或任何其他人士负任何直接或间接的责任。
3、在法律允许的范围内,本网站在此声明,不承担用户或任何人士就使用或未能使用本网站所提供的信息或任何链接或项目所引致的任何直接、间接、附带、从属、特殊、惩罚性或惩戒性的损害赔偿。
4、访问者在从事与本网站相关的所有行为(包括但不限于访问浏览、利用、转载、宣传介绍)时,必须以善意且谨慎的态度行事;访问者不得故意或者过失的损害本网站的各类合法权益,不得利用本网站以任何方式直接或者间接的从事违反中华人民共和国法律、国际公约以及社会公德的行为。对于访问者利用本网站提供的信息而作出的任何决策、决定以及其后果,本网站不承担任何责任
5、本网站图片,文字之类版权,本网站无法鉴别所上传图片或文字的知识版权,如果侵犯,请及时通知我们,本网站将在第一时间及时删除。
6、凡以任何方式登录本网站或直接、间接使用本网站资料者,视为自愿接受本网站声明的约束。
苏州微光

和匀强磁场的磁感应强度
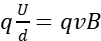
互相垂直,带电粒子沿直线匀速通过速度选择器时有
,可得
。
。
。
,当加速电场和偏转磁场一定时,粒子打在照相底片上的位置只与粒子的比荷有关,质谱仪可以用来分离比荷不同的粒子
形盒间缝隙被加速一次。
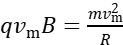
,
,联立解得
;
和
形盒半径
决定,与加速电压大小无关。
,加速次数
,则粒子在磁场中运动的总时间

、宽为
的导体(自由电荷是电子或正电荷)置于磁感应强度为
的匀强磁场中,当电流通过导体时,在导体的上表面
和下表面
之间产生电势差,这种现象称为霍尔效应,此电势差称为霍尔电压。
确定其运动方向
判断其受到的洛伦兹力的方向
根据上、下表面电荷的正负判断电势高低。
)在洛伦兹力作用下偏转,
、
间出现电势差,当自由电荷所受电场力和洛伦兹力平衡时,
、
间的电势差
就保持稳定,由
,
,
,联立得
,
称为霍尔系数
、
两板间产生电势差。
,则
,即
,则电动势
。
、
间等离子体的电阻相当于电源内阻
,根据电阻定律,
,其中
为金属板面积。

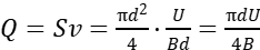
单位时间内流过管道横截面的液体的体积。
,用非磁性材料制成,其中有可以导电的液体向右流动。导电液体中的正、负带电粒子向右运动时在洛伦兹力作用下发生偏转,使
处聚集正电荷,
处聚集负电荷,从而在
、
间产生电势差,
。当离子所受静电力和洛伦兹力平衡时,
、
间的电势差
达到最大,有
,可得
。