【模型建立】

(1)子弹水平打进木块的过程中,系统的动量守恒。
(2)系统的机械能有损失。
【规律总结】
(1)子弹嵌入木块中,最后两者速度相等
质量为
的木块放在光滑水平面上,质量为
的子弹以速度
沿水平方向射中木块,子弹在木块中受到的阻力
视为恒力。如图甲所示,子弹未穿出木块,最终与木块一起以
匀速运动,这种情形相当于完全非弹性碰撞。

甲 乙
①动量守恒:
,得
;
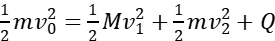
②能量守恒:
,得
;
③穿入深度:
,得
;
④运动时间:
或
,得
;
⑤运动位移:
、
,得
,
;
⑥
图像:如图乙所示,可借助图像计算各物理量。
(2)子弹穿透木块
如图丙所示,子弹以速度
穿出木块。这种情形相当于非弹性碰撞。

丙

丁
①动量守恒:
;
②能量守恒:
;
③产生热量:
;
④运动时间:
或
;
⑤运动位移:
、
;
⑥
图像:如图丁所示,可借助图像计算各物理量。
1、本网站所提供的信息,只供教育教学参考之用。
2、本网站及其会员一概毋须以任何方式就任何信息传递或传送的失误、不准确或错误对用户或任何其他人士负任何直接或间接的责任。
3、在法律允许的范围内,本网站在此声明,不承担用户或任何人士就使用或未能使用本网站所提供的信息或任何链接或项目所引致的任何直接、间接、附带、从属、特殊、惩罚性或惩戒性的损害赔偿。
4、访问者在从事与本网站相关的所有行为(包括但不限于访问浏览、利用、转载、宣传介绍)时,必须以善意且谨慎的态度行事;访问者不得故意或者过失的损害本网站的各类合法权益,不得利用本网站以任何方式直接或者间接的从事违反中华人民共和国法律、国际公约以及社会公德的行为。对于访问者利用本网站提供的信息而作出的任何决策、决定以及其后果,本网站不承担任何责任
5、本网站图片,文字之类版权,本网站无法鉴别所上传图片或文字的知识版权,如果侵犯,请及时通知我们,本网站将在第一时间及时删除。
6、凡以任何方式登录本网站或直接、间接使用本网站资料者,视为自愿接受本网站声明的约束。
苏州微光