江苏省南京市2024-2025学年第二学期六校联合体6月期末调研测试
高一物理
一、单项选择题:共11题,每小题4分,共44分。每题只有一个选项最符合题意。
1. 某金属导线的电阻为R,现将它均匀拉长到原来长度的两倍,则该导线的电阻变为( )
A. 2R B.
C. 4R D. 
【答案】C
【解析】
【详解】根据电阻定律得
,体积
,解得
该导线的电阻变为
故选C。
2. 人造卫星A、B在轨道上绕地球做匀速圆周运动,如图所示,下列说法中正确的是( )

A. B的加速度较小 B. A所受的引力较大
C. B的周期较小 D. A的速度较小
【答案】A
【解析】
【详解】A.根据牛顿第二定律得
,解得
轨道半径越大,加速度越小,所以B的加速度较小,A正确;
B.根据万有引力定律得
,卫星质量未知,无法比较万有引力,B错误;
C.根据牛顿第二定律得
,解得
轨道半径越大,公转周期越大,所以B的周期较大,C错误;
D.根据牛顿第二定律得
,解得
轨道半径越大,线速度越小,所以A的速度较大,D错误。
故选A。
3. 某电场的电场线分布如图中实线所示,虚线为一带电粒子的运动轨迹,下列说法中正确的是( )

A. 粒子在a点处的加速度大于在b点处的加速度
B. 粒子在a点处的电势能大于在b点处的电势能
C. 粒子在a点处的动能大于在b点处的动能
D. 粒子在运动过程中机械能守恒
【答案】B
【解析】
【详解】A.根据电场线的分布情况可知,a点的电场强度小于b点的电场强度,根据牛顿第二定律可知,a点的加速度小于b点的加速度,故A错误;
B.由于粒子受力方向指向运动轨迹的内侧,故粒子带正电,且a点的电势高于b点的电势,根据
可知,粒子在a点的电势能大于在b点的电势能,故B正确;
C.由于能量守恒,可知粒子在a点的动能小于b点的动能,故C错误;
D.粒子在运动过程中,有电场力做功,所以粒子的机械能不守恒,故D错误。
故选B。
4. 如图甲所示,家用滚筒式洗衣机滚筒截面可视为半径为R的圆。洗衣机脱水时,一衣物(可视为质点)紧贴筒壁随滚筒在竖直平面内做匀速圆周运动,O为圆心,如图乙,A、B、C为衣物运动轨迹上的三点,A、C两点位于最高和最低点,B点与O点等高,则衣物( )

A. 运动过程处于平衡状态
B. 在B点受到的摩擦力随转速的增大而增大
C. 在A、B、C三处对筒壁的压力大小相等
D. 在C处水更容易甩出
【答案】D
【解析】
【详解】A.衣物在竖直平面内做匀速圆周运动,所受合力提供向心力,不是处于平衡状态,故A错误;
B.在B点,竖直方向根据受力平衡可得
可知在B点受到
摩擦力不会随转速的增大而增大,故B错误;
CD.在A、B、C三处分别根据牛顿第二定律可得
,
,
可得
可知衣物在C处对筒壁的压力最大,则在C处水更容易甩出,故C错误,D正确。
故选D。
5. 2021年2月10日,我国“天问一号”火星探测器成功被火星捕获,经变轨后从“调相轨道”进入“停泊轨道”,如图所示,阴影部分
和
为探测器分别在两个轨道上运行时与火星球心的连线在相等时间内扫过的面积,下列说法正确的是( )

A. 图中两阴影部分的面积
和
大小相等
B. 探测器在
点的加速度大于在
点的加速度
C. 探测器从“调相轨道”进入“停泊轨道”,周期变大
D. 探测器从“调相轨道”进入“停泊轨道”,需要在
点加速
【答案】B
【解析】
【详解】A.根据开普勒第二定律可知探测器在同一轨道上相等时间内与火星的连线扫过的面积相等,但是图中两阴影部分不在同一轨道,故不相等,故A错误;
B.根据
可知探测器在
点的加速度大于在
点的加速度,故B正确;
C.根据开普勒第三定律可知,从“调相轨道”进入“停泊轨道”探测器的轨道半长轴变小,故周期变小,C错误;
D.探测器从“调相轨道”进入“停泊轨道”做向心运动,故需要在
点减速,故D错误。
故选B。
6. 如图所示,平行板电容器与直流电源相连接,一带电油滴位于电容器中的P点且恰好处于平衡状态,在其他条件不变的情况下,现将平行板电容器的两极板非常缓慢地错开一些,那么在错开的过程中( )

A. P点电势将变大 B. 电容器所带
电荷量Q增大
C. 电流计中的电流从N流向M D. 油滴将向下加速运动
【答案】C
【解析】
【详解】A.根据
,现将平行板电容器的两极板非常缓慢地错开一些,U和d都不变,电容器内部匀强电场的电场强度E不变,P点到上极板之间的电势差不变,P点的电势不变,A错误;
B.根据
,
,解得
将平行板电容器的两极板非常缓慢地错开一些,S减小,电容器所带的电荷量Q减小,B错误;
C.电容器下极板与电源正极相连带正电荷,上极板带负电荷。将平行板电容器的两极板非常缓慢地错开一些,S减小,电容器所带的电荷量Q减小,电容器顺时针放电,电流计中的电流从N流向M,C正确;
D.根据
,现将平行板电容器的两极板非常缓慢地错开一些,U和d都不变,电容器内部匀强电场的电场强度E不变,电场力不变,油滴仍然静止不动,D错误。
故选C。
7. 我国某些地区的人们用手拋撒谷粒进行水稻播种,如图(a)所示。在某次抛撒的过程中,有两颗质量相同的谷粒1、谷粒2同时从O点抛出,初速度分别为v1、v2,其中v1方向水平,v2方向斜向上,它们的运动轨迹在同一竖直平面内且相交于P点,如图(b)所示。空气阻力可忽略。下列说法中正确的是( )

A. 两颗谷粒在空中时的加速度a1 < a2
B. 两颗谷粒到达P点时重力的瞬时功率P1< P2
C. 谷粒2先到达P点
D. 两颗谷粒到达P点时动能相等
【答案】B
【解析】
【详解】A.两颗谷粒在空中时的加速度
,A错误;
C.根据从最高点到P点的时间
,从最高点到P点的时间谷粒2的时间长,所以谷粒1先到达P点,C错误;
B.在竖直方向上,从最高点到P点的速度
,所以
重力的功率
,所以P1< P2,B正确;
D.根据
,
,无法确定v1和v2的大小,所以无法比较两颗谷粒到达P点时动能,D错误。
故选B。
8. 两点电荷M、N分别固定在x=-20cm和坐标原点处,若取无穷远处电势为0,则两点电荷所形成电场的电势在x轴正半轴上的分布如图所示,图线与x轴交于x0处,x=20cm处电势最低。现有一正点电荷q从x0处由静止释放,其只在电场力作用下运动。下列说法正确的是( )

A. 点电荷M带正电、N带负电
B. x轴上电场强度为零的位置有两处
C. 点电荷q沿x轴正方向运动的过程中,电场力一直做正功
D. 点电荷M、N所带电荷量大小之比为
【答案】D
【解析】
【详解】A.根据电势变化情况可知,在x>0区域从左至右电势先降低后升高,所以场强方向先沿x轴正方向后沿x轴负方向,可知点电荷M带负电,点电荷N带正电,故A错误;
B.在φ-x图像中,切线斜率表示电场强度,在x=20cm处电场强度为零,然后在离M和N较远处的场强都可以认为等于0,x轴上电场强度为零的位置有三处,故B错误;
C.一正点电荷q从x0处由静止释放,正点电荷会向电势低的方向运动,正点电荷q沿x轴正方向运动的过程中,电场力做正功,经过x=20cm处之后,电场力方向与运动方向相反,电场力做负功,故C错误;
D.在x=20cm处图像斜率为零,电场强度为0,则满足
可知点电荷M、N所带电荷量大小之比为Q1:Q2=4:1,故D正确。
故选D。
9. 如图所示,传送带的水平部分ab长度为2m,倾斜部分bc长度为3m,bc与水平方向的夹角为37°。传送带沿图示顺时针方向匀速率运动,速率为2m/s。现将质量为m=1kg小煤块A从静止轻放到a处,它将被传送到c点,已知小煤块与传送带间的动摩擦因数为μ=0.5,且此过程中煤块不会脱离传送带,已知重力加速度大小为
,
,
则( )

A. 小煤块从a到b的时间为1s
B. 小煤块从a到b,电动机多消耗的电能为2J
C. 从b到c,小煤块和皮带间因摩擦而产生的热量为4J
D. 从a到c,小煤块在传送带上留下的痕迹长度为1.4m
【答案】C
【解析】
【详解】A.小煤块的加速度
解得
小煤块加速运动的时间
小煤块加速运动的位移
小煤块匀速运动的时间
从a到b的时间为
A错误;
B.小煤块从a到b,电动机多消耗的电能为
B错误;
C.从b到c,小煤块的加速度为
解得
小煤块下滑到底端的时间为
解得
传送带的位移
从b到c,痕迹的长度
从b到c,小煤块和皮带间因摩擦而产生的热量为

C正确;
D.从a到b痕迹的长度
从b到c痕迹的长度
从a到b小煤块相对于传送带先向后滑动0.4m,从b到c小煤块向前滑动1m,痕迹总长度为1m
D错误。
故选C。
10. 如图所示,在竖直平面内有水平向左的匀强电场,一根长L=0.5m的绝缘细线的一端固定在电场中的O点,另一端系住一质量m=0.3kg、带电量q=-4×10-7C的小球,小球静止时细线与竖直方向成θ=37°角。现给小球一个与细线垂直的初速度,使其从静止位置开始运动,发现它恰好能绕O点在竖直平面内做完整的圆周运动。已知
,则( )

A. 匀强电场的电场强度大小为1×107N/C
B. 小球从初始位置运动至轨迹最左端的过程中机械能减小了1.8J
C. 小球获得的初速度大小为5m/s
D. 小球在竖直平面内顺时针运动一周回到初始位置的过程中,其电势能先增大后减小
【答案】B
【解析】
【详解】A.小球静止时细线与竖直方向成θ角,对小球受力分析如图

根据平衡条件有mgtanθ=qE
解得
,选项A错误;
B.小球从初始位置运动至轨迹最左端的过程中电场力做功为
,则小球的机械能减小了1.8J,选项B正确;
C.小球受重力和电场力的等效合力为
小球恰能经过等效最高点A,则在A点时满足
从开始到A点由动能定理
解得小球获得的初速度大小为
,选项C错误;
D.小球在竖直平面内顺时针运动一周回到初始位置的过程中,电场力先做负功,再做正功,再做负功,则其电势能先增大后减小,再增加,选项D错误。
故选B。
11. 如图所示,一轻弹簧竖直放置,下端固定在水平地面上,自然伸长时弹簧上端处于A点。
时将小球从A点正上方O点由静止释放,
时到达A点,
时弹簧被压缩到最低点B。以O为原点,向下为正方向建立x坐标轴,以B点为重力势能零点;弹簧形变始终处于弹性限度内。小球在运动过程中的动能Ek、重力势能Ep1、机械能E0及弹簧的弹性势能Ep2变化图像可能正确的是( )

A.
B. 
C.
D. 
【答案】B
【解析】
【详解】AB.以B点为重力势能零点,可知小球在下降的过程中有

可知
图像为一条直线,接触弹簧前小球机械能不变,接触后,设弹簧的劲度系数为k,根据弹簧的弹性势能公式有

小球机械能

因此A错误,B正确;
CD.当弹簧弹力等于重力时动能最大,但小于小球初始时的机械能,压缩到最短时小球的机械能完全转化成弹簧的弹性势能,因此C错误,D错误。
故选B
二、非选择题:共5题,共56分,其中第13题~16题解答时请写出必要的文字说明、方程式和重要演算步骤。只写出最后答案的不能得分。有数值计算的题,答案中必须明确写出数值和单位。
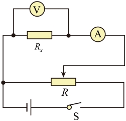
12. 某实验小组测量一新材料制成的粗细均匀金属丝的电阻率,金属丝的长度L已知。

(1)先用螺旋测微器测量电阻丝的直径d,示数如图甲所示,其直径d=__________mm;
(2)用多用电表粗测金属丝的阻值。当用“×10”挡时,发现指针偏转角度过大,进行一系列正确操作后,指针静止时位置如图乙所示,其读数为________Ω;
(3)为了精确地测量金属丝的电阻,除被测电阻外,实验室提供了下列器材:
直流电源(电压3 V,内阻不计)
电压表V(量程0~3 V,内阻约为3 kΩ)
电流表A(量程0~300 mA,内阻约为1 Ω)
滑动变阻器R1(0~5 Ω)
滑动变阻器R2(0~1000 Ω)
开关一只,导线若干
为调节方便,并让电压变化范围尽量大一些,实验中,滑动变阻器应选择______(选填“R1”或“R2”)。请在虚线框内画出电路原理图_____;

(4)根据实验数据作出的U-I图像如图丙所示,U-I图像的斜率用k表示,则待测金属丝的电阻率的表达式为
________(用k、L、d和通用数学符号表示)。
【答案】(1)1.415##1.416##1.417
(2)11##11.0
(3) ①. R1②. 
(4)
【解析】
【小问1详解】
该电阻丝的直径为
【小问2详解】
当用“×10”挡时,发现指针偏转角度过大,则说明倍率选择较大,故换用“×1”挡后重新欧姆调零,则其多用电表的读数为11.0Ω。
【小问3详解】
[1]为调节方便,并让电压变化范围尽量大一些,则滑动变阻器应采用分压式接法,故滑动变阻器应选择较小阻值的
;
[2]由于
所以为了减小误差,电流表应采用外接法,则电路原理图如图所示
【小问4详解】
根据电阻定律
根据欧姆定律
其中
联立可得待测金属丝的电阻率的表达式为
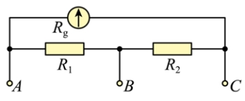
13. 如图所示是有两个量程的电流表,已知表头的内阻为90Ω,满偏电流是10mA,R1=1Ω。当使用A、C两个端点时,量程为0~0.1A,求:

(1)R2的阻值;
(2)使用A、B两个端点时的量程。
【答案】(1)R2=9Ω
(2)1A
【解析】
【小问1详解】
接AC时
0.1A量程,则
解得R2=9Ω
【小问2详解】
接AB时
解得I2=1A
14. 如图所示,有一个竖直放置的固定圆形轨道,半径R=0.4m,由左右两部分组成,右半部分AEB是光滑的,左半部分BFA是粗糙的。现在最低点A给一质量m=1kg的小球一个水平向右的初速度,使小球沿轨道恰好能过最高点B,且又能沿BFA回到A点,回到A点时对轨道的压力为30N。不计空气阻力,已知重力加速度大小为g=10 m/s2。求:

(1)小球沿BFA回到A点时的速度vA大小;
(2)小球沿BFA回到A点过程中摩擦力所做的功。
【答案】(1)
(2)Wf=-6J
【解析】
【小问1详解】
回到A点时,根据牛顿第二定律FN-mg=
解得
【小问2详解】
小球恰好通过B点,根据牛顿第二定律mg=
解得
对小球,由B经F回到A的过程中,根据动能定理2mgR+Wf=
m
-
m
解得Wf=-6J
15. 如图甲所示,水平放置的平行板电容器的两极板M、N的长度为L,板间距离为d,距板右端L处有一竖直屏P。AB是极板的中心线,两板间所加电压随时间变化的规律如图乙所示,图中U0、T已知。t=0时刻,一个质量为m、电荷量为q的带正电粒子沿两板中心线AB以某一初速度射入极板间,该粒子在T时刻飞离电容器。不计粒子受到的空气阻力,粒子在整个运动过程中都不会打到电容器的上下极板。求:

(1)若不考虑该粒子的重力,该粒子射入极板间的速度大小
及
时间内加速度的大小;
(2)若不考虑该粒子的重力,当图乙中k=3时,该粒子离开电容器右侧时的偏转距离y;
(3)若要考虑该粒子的重力,且
该粒子最后能垂直打在P上,则图乙中k的值。
【答案】(1)
;
(2)
(3)k=5
【解析】
【小问1详解】
粒子在沿极板方向做匀速直线运动,可得
解得该粒子射入极板间的速度大小
粒子在
的时间内,由牛顿第二定律
可得此时间内的加速度大小为
【小问2详解】
粒子在垂直板方向先向下加速后向下减速再反向加速,
图像如图所示

粒子在
到T过程,加速度大小
粒子在0到
过程中垂直极板方向
粒子在
到T过程中垂直极板方向
由于
故该粒子离开电容器右侧时的偏转距离为
【小问3详解】
选向下为正方向,粒子离开电场做斜抛运动,离开时在y方向的速度
粒子在
时刻由牛顿第二定律
可得在y方向的加速度大小a1=2g
粒子在
时刻在y方向的速度
粒子在
到T过程中,加速度为
加速度大小为4g,方向向上。由牛顿第二定律
解得
即k=5
16. 如图所示,倾角为37°
固定光滑长斜面,下端有一固定挡板,两小物块A、B放在斜面上,用与斜面平行的轻弹簧连接。一轻绳跨过轻小定滑轮的左端与B相连,右端与套在光滑水平杆上的小球C相连,A、B、C的质量均为m=2kg,系统静止时,滑轮左侧轻绳与斜面平行,右侧轻绳竖直,竖直长度
m且绳中无弹力。B物体静止在O点,给C一个水平向右的初速度v0=6m/s,当C向右运动0.75L距离时A恰好离开挡板。已知重力加速度大小为g=10m/s2,sin37°=0.6,cos37°=0.8,求:

(1)弹簧的劲度系数k;
(2)C物体从图示位置向右运动0.75L时,B的速度大小vB;
(3)若B与斜面间有摩擦,且刚开始仍然静止在O点,动摩擦因素µ随与O点间距离x的变化关系为µ=0.25+0.6x,C物体从图示位置在某外力F的控制下以5m/s的速度向右匀速运动0.75L,在这一过程中F做的功W。
【答案】(1)k=144N/m
(2)vB=3m/s(3)W=11.8J
【解析】
【小问1详解】
初始状态弹簧压缩量为
末状态弹簧伸长量为

联立得
【小问2详解】
设此时C物体的速度v1,绳与水平方向夹角为α,则
又
解得
,
整个过程中弹力对物体B做功为零,故B物体与C物体组成的系统初末状态机械能相等,则
解得
【小问3详解】
对C物体根据动能定理有
B物体初、末位置的动摩擦因数分别为
,
摩擦力对B物体做功为
B物体的末速度为
对B物体根据动能定理有
其中
可得
1、本网站所提供的信息,只供教育教学参考之用。
2、本网站及其会员一概毋须以任何方式就任何信息传递或传送的失误、不准确或错误对用户或任何其他人士负任何直接或间接的责任。
3、在法律允许的范围内,本网站在此声明,不承担用户或任何人士就使用或未能使用本网站所提供的信息或任何链接或项目所引致的任何直接、间接、附带、从属、特殊、惩罚性或惩戒性的损害赔偿。
4、访问者在从事与本网站相关的所有行为(包括但不限于访问浏览、利用、转载、宣传介绍)时,必须以善意且谨慎的态度行事;访问者不得故意或者过失的损害本网站的各类合法权益,不得利用本网站以任何方式直接或者间接的从事违反中华人民共和国法律、国际公约以及社会公德的行为。对于访问者利用本网站提供的信息而作出的任何决策、决定以及其后果,本网站不承担任何责任
5、本网站图片,文字之类版权,本网站无法鉴别所上传图片或文字的知识版权,如果侵犯,请及时通知我们,本网站将在第一时间及时删除。
6、凡以任何方式登录本网站或直接、间接使用本网站资料者,视为自愿接受本网站声明的约束。
徐老师的博客