2025年辽宁、吉林、黑龙江、内蒙古四省物理真题
一、单选题
1.书法课上,某同学临摹“力”字时,笔尖的轨迹如图中带箭头的实线所示。笔尖由a点经b点回到a点,则()
A. 该过程位移为0 B. 该过程路程为0
C. 两次过a点时速度方向相同 D. 两次过a点时摩擦力方向相同
2.某同学冬季乘火车旅行,在寒冷的站台上从气密性良好的糖果瓶中取出糖果后拧紧瓶盖,将糖果瓶带入温暖的车厢内一段时间后,与刚进入车厢时相比,瓶内气体()
A. 内能变小 B. 压强变大
C. 分子的数密度变大 D. 每个分子动能都变大
3.如图,利用液导激光技术加工器件时,激光在液束流与气体界面发生全反射。若分别用甲、乙两种液体形成液束流,甲的折射率比乙的大,则()
A. 激光在甲中的频率大 B. 激光在乙中的频率大
C. 用甲时全反射临界角大 D. 用乙时全反射临界角大
4.如图,某压力传感器中平行板电容器内的绝缘弹性结构是模仿犰狳设计的,逐渐增大施加于两极板压力F的过程中,F较小时弹性结构易被压缩,极板间距d容易减小;F较大时弹性结构闭合,d难以减小。将该电容器充电后断开电源,极板间电势差U与F的关系曲线可能正确的是


A.

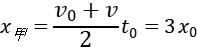
B.

C.

D.

5.平衡位置在同一水平面上的两个振动完全相同的点波源,在均匀介质中产生两列波。若波峰用实线表示,波谷用虚线表示,P点位于其最大正位移处,曲线ab上的所有点均为振动减弱点,则下列图中可能满足以上描述的是()
A.
B. 
C.
D. 
6.如图,趣味运动会的“聚力建高塔”活动中,两长度相等的细绳一端系在同一塔块上,两名同学分别握住绳的另一端,保持手在同一水平面以相同速率v相向运动。为使塔块沿竖直方向匀速下落,则v()
A. 一直减小 B. 一直增大 C. 先减小后增大 D. 先增大后减小
7.如图,光滑绝缘水平面AB与竖直面内光滑绝缘半圆形轨道BC在B点相切,轨道半径为r,圆心为O,O、A间距离为3r。原长为2r的轻质绝缘弹簧一端固定于O点,另一端连接一带正电的物块。空间存在水平向右的匀强电场,物块所受的电场力与重力大小相等。物块在A点左侧释放后,依次经过A、B、C三点时的动能分别为
、
、
,则


A.
B. 
C.
D. 
二、多选题
8.某理论研究认为,
原子核可能发生双
衰变,衰变方程为
。处于第二激发态的
原子核先后辐射能量分别为
和
的
、
两光子后回到基态。下列说法正确的是

A.
B. 
C.
的频率比
的大 D.
的波长比
的大
9.如图,“L”形导线框置于磁感应强度大小为B、水平向右的匀强磁场中。线框相邻两边均互相垂直,各边长均为l。线框绕b、e所在直线以角速度
顺时针匀速转动,be与磁场方向垂直。
时,abef与水平面平行,则


A.
时,电流方向为abcdefa
B.
时,感应电动势为
C.
时,感应电动势为0
D.
到
过程中,感应电动势平均值为0
10.如图
,倾角为
的足够长斜面放置在粗糙水平面上。质量相等的小物块甲、乙同时以初速度
沿斜面下滑,甲、乙与斜面的动摩擦因数分别为
、
,整个过程中斜面相对地面静止。甲和乙的位置x与时间t的关系曲线如图
所示,两条曲线均为抛物线,乙的
曲线在
时切线斜率为0,则


A. 
B.
时,甲的速度大小为
C.
之前,地面对斜面的摩擦力方向向左
D.
之后,地面对斜面的摩擦力方向向左
三、实验题
11.在测量某非线性元件的伏安特性时,为研究电表内阻对测量结果的影响,某同学设计了如图
所示的电路。选择多用电表的直流电压挡测量电压。实验步骤如下:
①滑动变阻器滑片置于适当位置,闭合开关;
②表笔分别连a、b接点,调节滑片位置,记录电流表示数I和a、b间电压
③表笔分别连a、c接点,调节滑片位置,使电流表示数仍为I,记录a、c间电压
④表笔分别连b、c接点,调节滑片位置,使电流表示数仍为I,记录b、c间电压
,计算
;
⑤改变电流,重复步骤②③④,断开开关。
作出
、
及
曲线如图
所示。
回答下列问题:
将多用电表的红、黑表笔插入正确的插孔,测量a、b间的电压时,红表笔应连接点
填“a”或“b”
若多用电表选择开关旋转到直流电压挡“
”位置,电表示数如图
所示,此时电表读数为
结果保留三位小数

图
中乙是
填“
”或“
”
曲线;
实验结果表明,当此元件阻值较小时,
填“甲”或“乙”
曲线与
曲线更接近。
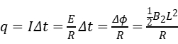
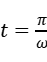
12.某兴趣小组设计了一个可以测量质量的装置。如图
,细绳1、2和橡皮筋相连于一点,绳1上端固定在A点,绳2下端与水杯相连,橡皮筋的另一端与绳套相连。为确定杯中物体质量m与橡皮筋长度x的关系,该小组逐次加入等质量的水,拉动绳套,使绳1每次与竖直方向夹角均为
且橡皮筋与绳1垂直,待装置稳定后测量对应的橡皮筋长度。根据测得数据作出
关系图线,如图
所示。回答下列问题:
将一芒果放入此空杯,按上述操作测得
,由图
可知,该芒果的质量
结果保留到个位
。若杯中放入芒果后,绳1与竖直方向夹角为
但与橡皮筋不垂直,由图像读出的芒果质量与
相比
填“偏大”或“偏小”
。
另一组同学利用同样方法得到的
图像在后半部分弯曲,下列原因可能的是。
A.水杯质量过小
B.绳套长度过大
C.橡皮筋伸长量过大,弹力与其伸长量不成正比
写出一条可以使上述装置测量质量范围增大的措施。
四、计算题:本大题共3小题,共38分。
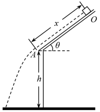
13.如图,一雪块从倾角
的屋顶上的O点由静止开始下滑,滑到A点后离开屋顶。O、A间距离
,A点距地面的高度
,雪块与屋顶的动摩擦因数
。不计空气阻力,雪块质量不变,取
,重力加速度大小
。求:
雪块从A点离开屋顶时的速度大小
雪块落地时的速度大小
,及其速度方向与水平方向的夹角
。

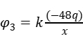
14.如图
,固定在光滑绝缘水平面上的单匝正方形导体框abcd,置于始终竖直向下的匀强磁场中,ad边与磁场边界平行,ab边中点位于磁场边界。导体框的质量
、电阻
、边长
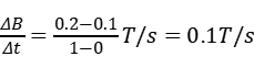
。磁感应强度B随时间t连续变化,
内
图像如图
所示。导体框中的感应电流I与时间t关系图像如图
所示,其中0∽1s内的图像未画出,规定顺时针方向为电流正方向。
求
时ad边受到的安培力大小F。
在答题卡图
中画出
内
图像
无需写出计算过程
。
从
开始,磁场不再随时间变化。之后导体框解除固定,给导体框一个向右的初速度
,求ad边离开磁场时的速度大小
。
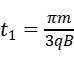
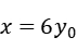
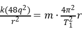
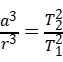
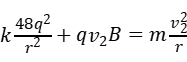
15.如图,在xOy平面第一、四象限内存在垂直平面向里的匀强磁场,磁感应强度大小为B。一带正电的粒子从
点射入磁场,速度方向与y轴正方向夹角
,从
点射出磁场。已知粒子的电荷量为
,质量为m,忽略粒子重力及磁场边缘效应。
求粒子射入磁场的速度大小
和在磁场中运动的时间
。
若在xOy平面内某点固定一负点电荷,电荷量为48q,粒子质量取
为静电力常量
,粒子仍沿
中的轨迹从M点运动到N点,求射入磁场的速度大小
。
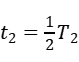
在
问条件下,粒子从N点射出磁场开始,经时间
速度方向首次与N点速度方向相反,求
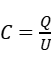
电荷量为Q的点电荷产生的电场中,取无限远处的电势为0时,与该点电荷距离为r处的电势
。
答案和解析
1.【答案】A
【解析】A. 笔尖由a 点经b 点回到a 点过程,初位置和末位置相同,位移为零,故A 正确;
B. 笔尖由a 点经b 点回到a 点过程,轨迹长度不为零,则路程不为零,故B 错误;
C. 两次过a 点时轨迹的切线方向不同,则速度方向不同,故C 错误;
D. 摩擦力方向与笔尖的速度方向相反,则两次过a 点时摩擦力方向不同,故D 错误。
故选A。
2.【答案】B
【解析】A. 将糖果瓶带入温暖的车厢内一段时间后,温度升高,理想气体内能只与温度有关,则内能变大,故A错误;
B.将糖果瓶带入温暖的车厢内,气体做等容变化,根据
,温度升高,气体压强增大,故B正确;
C.气体分子数量不变,气体体积不变,则分子的数密度不变,故C错误;
D.温度升高,气体分子的平均动能增大,但不是每个分子的动能都增大,故D错误;
故选:B。
3.【答案】D
【解析】
激光在不同介质中传播时,频率不变,故AB错误;
根据
,甲的折射率比乙的大,则图乙时全反射临界角大,故C错误,D正确。
故选:D。
4.【答案】D
【解析】由电容的定义式
和平行板电容器的电容决定式
可知,当极板间距d减小时,电容C增大,而断电后电荷量Q不变,故电势差U减小
也可由以上两式联立得到
推知
。又因绝缘弹性物体的特殊结构,可知当F较小时弹性结构易被压缩,极板间距d容易减小,此时极板间电势差U明显减小;随着F的增大,d减小的越来越慢,U也减小的越来越慢,即
图象中图线的斜率越来越小,故选D。
5.【答案】C
【解析】根据题意P 点位于其最大正位移处,故可知此时P 点位于两列波的波峰与波峰相交处;根据干涉规律可知,相邻波峰与波峰,波谷与波谷连线上的点都是加强点,故A 图像中的曲线ab 上的点存在振动加强点,不符合题意。
故选C。
6.【答案】B
【解析】设两边绳与竖直方向的夹角为
,塔块沿竖直方向匀速下落的速度为v1,将v、v1分别沿绳方向和垂直绳方向进行分解;
由于绳子不可伸长,可得
,即
由于塔块匀速下落时
在减小,故可知v一直增大。
故选B。
7.【答案】C
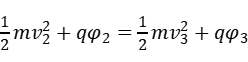
【解析】由题意可得A点弹簧伸长量为r,B点和C点弹簧压缩量为r,即三个位置弹簧弹性势能相等,则由A到B过程中弹簧弹力做功为零,电场力做正功,动能增加,
,同理B到C过程中弹簧弹力和电场力做功都为零,重力做负功,则动能减小,
,由A到C全过程则有
,因此
。
故选C。
8.【答案】ABC
【解析】AB.由核反应方程质量数和电荷数守恒可得
,
,
解得
,
,AB正确;
CD.由题可得
光子的能量大于
光子的能量,光子的能量公式
,波长
可得
的频率大于
的频率,
的波长小于
的波长,C正确,D错误;
故选ABC。
9.【答案】AB
【解析】
线框旋转切割磁场产生电动势的两条边为cd 和af,
时刻cd 边速度与磁场方向平行,不产生电动势,因此此时af 边切割产生电动势,由右手定则可知电流方向为abcdefa,电动势为
²
,AB 正确;
C.
时,线框旋转
,此时依旧是af 边切割磁场产生电动势,感应电动势不为零,C 错误;
D.
到
时,线框abef 的磁通量变化量为零,线框bcde 的磁通量变化量为
BS
Bl2,
由法拉第电磁感应定律可得平均电动势为
,D 错误。
故选AB。
10.【答案】AD
【解析】B.位置x与时间t的图像的斜率表示速度,甲、乙两个物块的曲线均为抛物线,则甲物块做匀加速运动,乙物块做匀减速运动,在t
时间内甲、乙的位移可得

可得t
时刻甲物体的速度为
,B错误;
A.甲物体的加速度大小为
乙物体的加速度大小为
由牛顿第二定律可得甲物体
同理可得乙物体
联立可得
,A正确
C.设斜面的质量为M,取水平向左为正方向,由系统牛顿第二定律可得
则
之前,地面和斜面之间摩擦力为零,C错误;
D.
之后,乙物体保持静止,甲物体继续沿斜面向下加速,由系统牛顿第二定律可得
即地面对斜面的摩擦力向左,D正确。
故选AD。
11.【答案】a

/
均可
甲
【解析】
多用电表测量须“红进黑出”故测量a、b间的电压时,红表笔应连a接点。
的直流电压挡,分度值为
,由图可知此时电压表读数为
均可
当表笔分别连a、c接点时测得是元件和电流表两端的电压和电流,当表笔分别连a、b接点时测得是元件两端的电压和电流,故同等电流
,由图可知,同等电流
,故乙为
曲线;
当此元件阻值较小时,电流较大,由图可知,甲曲线与
曲线更接近。
12.【答案】106
偏大
C
减小细线与竖直方向的夹角
【解析】
操作测得
,由图
的图像坐标可知,该芒果的质量为106g;
若杯中放入芒果后,绳1与竖直方向夹角为
但与橡皮筋不垂直,根据共点力平衡可知橡皮条的拉力变大,导致橡皮筋的长度偏大,若仍然根据图像读出芒果的质量与
相比偏大。
另一组同学利用同样方法得到的
图像在后半部分弯曲,可能是所测物体的质量过大,导致橡皮筋所受的弹力过大超过了弹簧的弹性限度,从而使橡皮筋弹力与其伸长量不成正比。
故选C。
根据共点力平衡条件可知,当减小绳子与竖直方向的夹角时,相同的物体质量对应橡皮筋的拉力较小,故相同的橡皮筋,可减小细线与竖直方向的夹角可增大质量测量范围。
13.【答案】解:
雪块在屋顶下滑过程,由动能定理得:mg
①
解得
雪块滑离屋顶后做斜下抛运动,水平方向做匀速直线运动,设水平分速度为
,
由速度分解得:
②
由动能定理得:
③
设落地前瞬间速度与水平方向为
,由速度分解得:
④
由以上各式解得:
,
【解析】详细解答和解析过程见【答案】
14.【答案】解:
由图像
得:
,
由法拉第电磁感应定律得:
由闭合电路欧姆定律得:
由图像
得:
时,
由安培力公式得,
时,安培力
内线框内的感应电流大小为
,根据楞次定律及安培定则可知感应电流方向为顺时针方向,由图
可知
内的感应电流大小为
,方向为逆时针,根据欧姆定律可知,
内的感应电动势大小为E2
2
由法拉第电磁感应定律
可知
内磁感应强度的变化率为
解得
时磁感应强度大小为B2
方向垂直于纸面向里,故
的磁场随时间变化图为

线框出磁场过程中,规定向右为正,由动量定理可知:
又
,
联立解得ad边离开磁场时的速度大小
【解析】详细解答和解析过程见【答案】
15.【答案】解:
由牛顿第二定律得:
由几何关系得:
,则


由以上各式解得:
粒子还通过N,依然做
中相同半径的圆周运动,由牛顿第二定律得:
,结合
问解得:
类比行星运动,正粒子的运动轨迹应当为圆锥曲线。可知N点类比于近点,经时间
速度方向首次与N点速度方向相反此时为远点。设速度反向点正粒子的速率为
,距离负电荷的距离为x,从N点到速度反向点由能量守恒和面积定律可得:

其中:

由以上各式解得:
椭圆半长轴长度为:
若电荷以r为半径绕电荷做匀速圆周运动由牛顿第二定律得:
电荷做半长轴为a的椭圆运动的周期为
,类比行星的开普勒第三定律可知:
故题中所所求时间
由以上各式解得:
【解析】详细解答和解析过程见【答案】
附件 (1个)
1、本网站所提供的信息,只供教育教学参考之用。
2、本网站及其会员一概毋须以任何方式就任何信息传递或传送的失误、不准确或错误对用户或任何其他人士负任何直接或间接的责任。
3、在法律允许的范围内,本网站在此声明,不承担用户或任何人士就使用或未能使用本网站所提供的信息或任何链接或项目所引致的任何直接、间接、附带、从属、特殊、惩罚性或惩戒性的损害赔偿。
4、访问者在从事与本网站相关的所有行为(包括但不限于访问浏览、利用、转载、宣传介绍)时,必须以善意且谨慎的态度行事;访问者不得故意或者过失的损害本网站的各类合法权益,不得利用本网站以任何方式直接或者间接的从事违反中华人民共和国法律、国际公约以及社会公德的行为。对于访问者利用本网站提供的信息而作出的任何决策、决定以及其后果,本网站不承担任何责任
5、本网站图片,文字之类版权,本网站无法鉴别所上传图片或文字的知识版权,如果侵犯,请及时通知我们,本网站将在第一时间及时删除。
6、凡以任何方式登录本网站或直接、间接使用本网站资料者,视为自愿接受本网站声明的约束。
徐老师的博客